Logo Passei Direto
Buscar
Material
páginas com resultados encontrados.
páginas com resultados encontrados.

Prévia do material em texto

CHAPTER 2 59
 
 
 
 
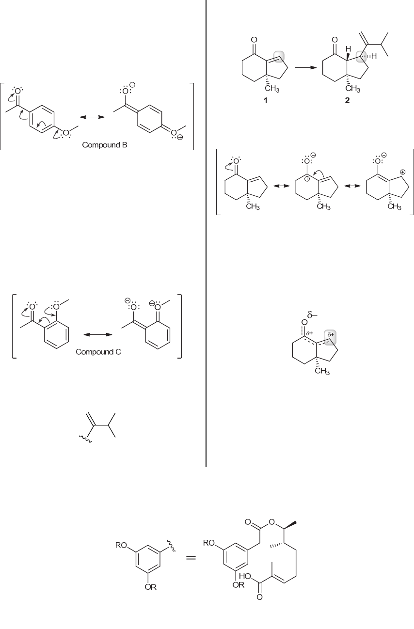
2.68. 
(a) Compound B has one additional resonance structure 
that compound A lacks, because of the relative positions 
of the two groups on the aromatic ring. Specifically, 
compound B has a resonance structure in which one 
oxygen atom has a negative charge and the other oxygen 
atom has a positive charge: 
 
 
 
Compound A does not have a significant resonance 
structure in which one oxygen atom has a negative 
charge and the other oxygen atom has a positive charge. 
That is, compound A has fewer resonance structures than 
compound B. Accordingly, compound B has greater 
resonance stabilization. 
 
(b) Compound C is expected to have resonance 
stabilization similar to that of compound B, because 
compound C also has a resonance structure in which one 
oxygen atom has a negative charge and the other oxygen 
atom has a positive charge: 
 
 
 
2.69. 
(a) The following group is introduced, and it contains 
five carbon atoms: 
 
 
 
 
(b) The following highlighted carbon atom is involved in 
the reaction: 
 
 
 
(c) Compound 1 has three significant resonance 
structures, shown here: 
 
 
 
The structure on the left is the most significant, because 
every atom has an octet and it has no formal charges. 
The resonance hybrid is a weighted average of these 
three resonance structures. Since the partial positive 
charge is delocalized onto two carbon atoms and the 
partial negative charge is localized on only one oxygen 
atom, the partial negative charge is drawn larger than 
each of the individual partial positive charges. 
 
 
(d) The reactive site has partial positive character, which 
means that it is electron deficient. This is what makes it 
reactive. In the actual synthesis, this compound is 
treated with a carbanion (a structure containing a carbon 
atom with a negative charge). The reaction causes 
formation of a bond between the electron-deficient 
carbon atom and the electron-rich carbon atom. We will 
learn that reaction in Chapter 21. 
 
2.70. We will need to draw two resonance hybrids, one for each of the highlighted carbon atoms. One highlighted 
position is part of an aromatic ring, and we will begin by focusing on that position. In doing so, we can save time by 
redrawing only the relevant portion of the molecule, like this: 
 
 
www.MyEbookNiche.eCrater.com

Mais conteúdos dessa disciplina