Logo Passei Direto
Buscar
Material
páginas com resultados encontrados.
páginas com resultados encontrados.

Prévia do material em texto

CHAPTER 5 133 
 
 
Solutions 
 
5.1. 
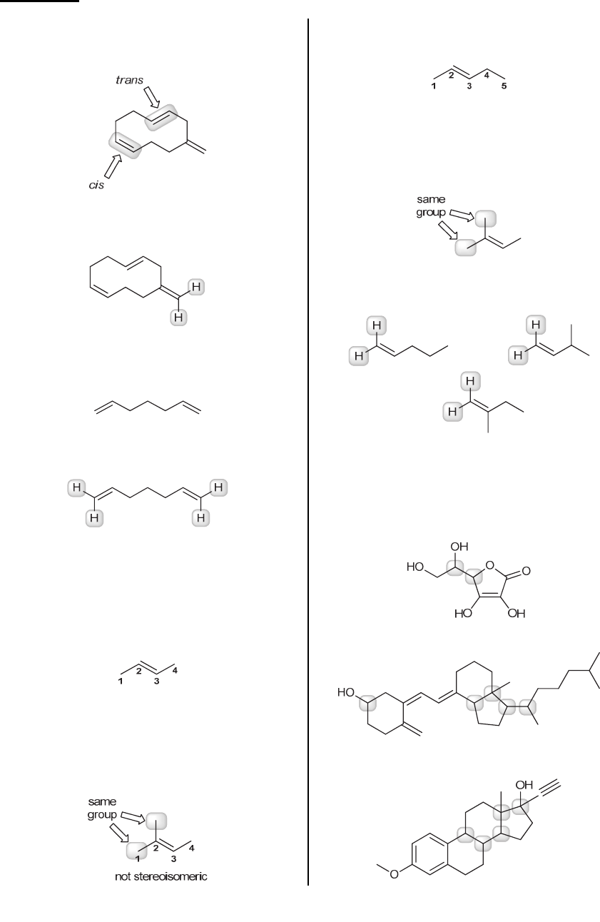
There are two C=C units in the ring (highlighted), and 
their configurations are shown below. 
 
 
 
The remaining C=C unit is not stereoisomeric, because it 
has two identical groups (hydrogen atoms) connected to 
the same position. 
 
 
5.2. We first draw a bond-line structure, which makes it 
easier to see the groups that are connected to each of the 
double bonds. 
 
 
 
Each of the double bonds has two identical groups 
(hydrogen atoms) connected to the same position. 
 
 
 
As such, neither double bond exhibits stereoisomerism, 
so this compound does not have any stereoisomers. 
 
5.3. 
(a) Compound X must contain a carbon-carbon double 
bond in the trans configuration, which accounts for four 
of the five carbon atoms: 
 
 
 
Now we must decide where to place the fifth carbon 
atom. We cannot attach this carbon atom to a vinylic 
position (C2 or C3), as that would give a double bond 
that is not stereoisomeric, and compound X is supposed 
to have the trans configuration. 
 
 
Therefore, we must attach the fifth carbon atom to an 
allylic position, giving the following compound: 
 
 
 
(b) Compound Y possesses a carbon-carbon double bond 
that is not stereoisomeric, which means that it must 
contain two identical groups connected to the same 
vinylic position. Those identical groups can be methyl 
groups, as in the following compound, 
 
 
 
or the identical groups can be hydrogen atoms, as in the 
following three compounds: 
 
 
 
5.4. In each of the following cases, we ignore all sp2 
hybridized carbon atoms, all sp hybridized carbon atoms, 
and all CH2 and CH3 groups. We identify those carbon 
atoms (highlighted below) bearing four different groups: 
 
(a) This compound has two chiral centers: 
 
 
 
(b) This compound has five chiral centers: 
 
 
(c) This compound has five chiral centers: 
 
 
www.MyEbookNiche.eCrater.com

Mais conteúdos dessa disciplina