Logo Passei Direto
Buscar
Material
páginas com resultados encontrados.
páginas com resultados encontrados.

Prévia do material em texto

CHAPTER 5 145 
 
 
5.37. 
(a) There are three chiral centers (n=3), so we expect 2n 
= 23 = 8 stereoisomers. 
(b) There are two chiral centers (n=2), so we initially 
expect 2n = 22 = 4 stereoisomers. However, one of the 
stereoisomers is a meso compound, so there will only be 
3 stereoisomers. 
(c) There are four chiral centers (n=4), so we expect 2n = 
24 = 16 stereoisomers. 
(d) There are two chiral centers (n=2), so we initially 
expect 2n = 22 = 4 stereoisomers. However, one of the 
stereoisomers is a meso compound, so there will only be 
3 stereoisomers. 
(e) There are two chiral centers (n=2), so we initially 
expect 2n = 22 = 4 stereoisomers. However, one of the 
stereoisomers is a meso compound, so there will only be 
3 stereoisomers. 
(f) There are five chiral centers (n=5), so we expect 2n = 
25 = 32 stereoisomers. 
 
 
 
5.38. In each case, we draw the enantiomer by replacing 
all wedges with dashes, and all dashes with wedges. For 
Fischer projections, we simply change the configuration 
at every chiral center by switching the groups on the left 
with the groups on the right: 
 
(a) (b) 
 
 
 
(c) (d) 
 
 
 
(e) 
 
 
 
 
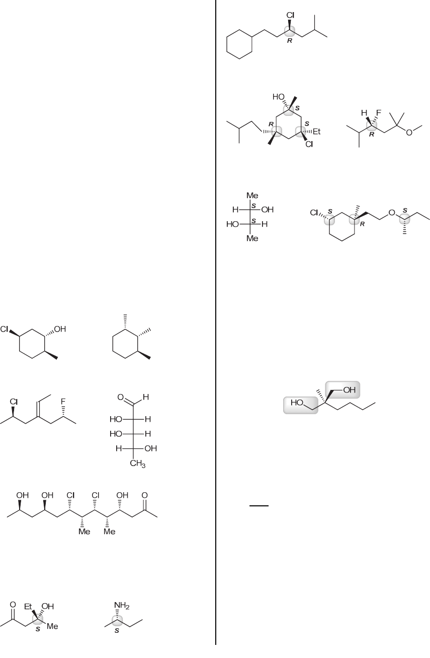
5.39. The configuration of each chiral center is shown 
below: 
(a) (b) 
 
 
(c) 
 
 
 
(d) (e) 
 
 
 
 
(f) (g) 
 
 
 
 
5.40. In this case, there is a 96% excess of A (98 – 2 = 
96). The remainder of the solution is a racemic mixture 
of both enantiomers (2% A and 2% B). Therefore, the 
enantiomeric excess (ee) is 96%. 
 
 
 
5.41. This compound does not have a chiral center, 
because two of the groups are identical: 
 
 
 
Accordingly, the compound is achiral and is not optically 
active. We thus predict a specific rotation of zero. 
 
 
 
5.42. 
 [α] = 
lc
α

 
 
α = [α]  lc 
 
 = (13.5)(0.100 g/mL)(1.00 dm) = 1.35° 
 
 
 
 
 
 
www.MyEbookNiche.eCrater.com

Mais conteúdos dessa disciplina