Logo Passei Direto
Buscar
Material
páginas com resultados encontrados.
páginas com resultados encontrados.

Prévia do material em texto

232          CHAPTER 7           
 
 
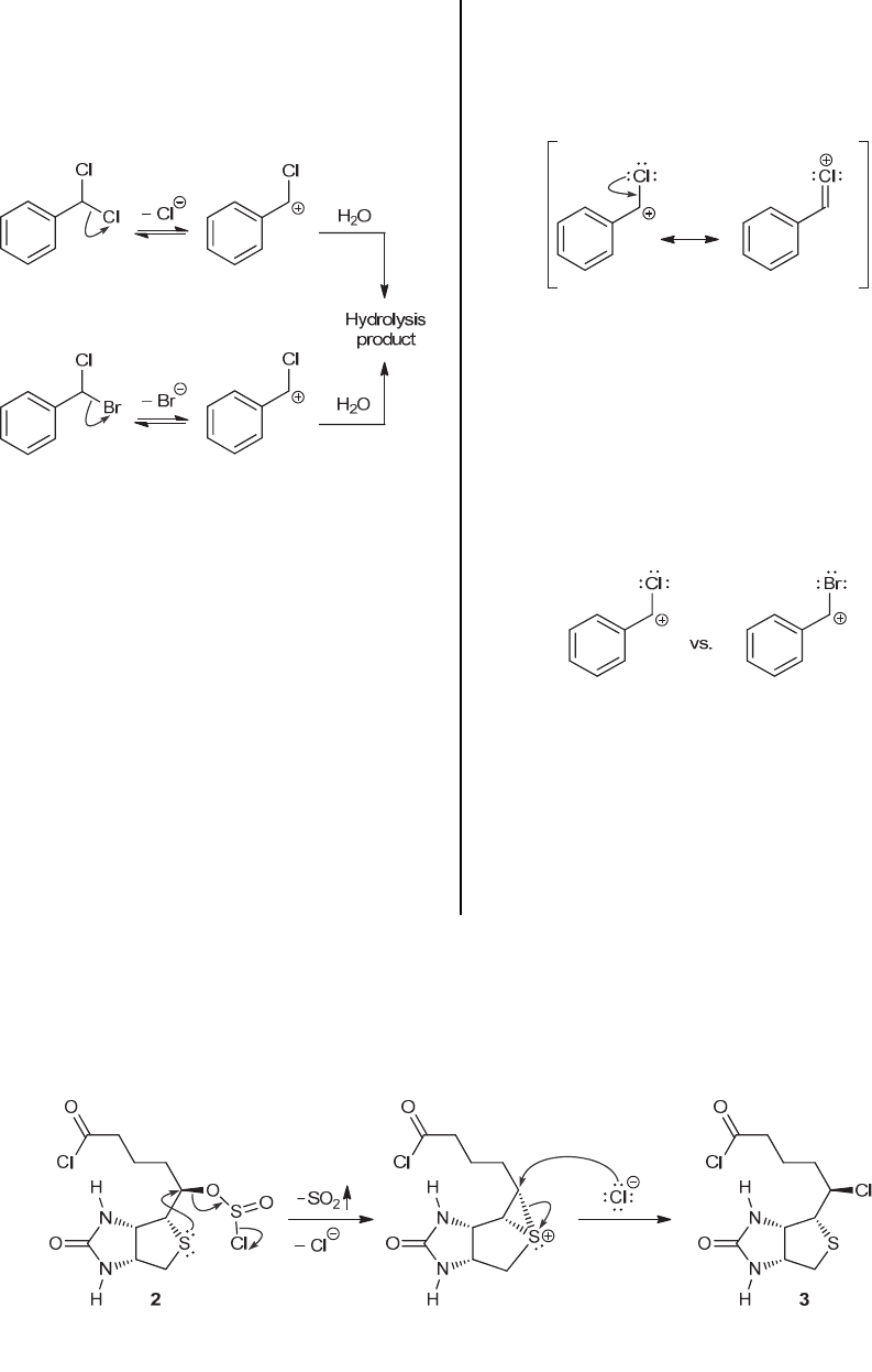
7.103. 
(a) Table 7.1 indicates that bromide is expected to be a 
better leaving group than chloride, because bromide is a 
more stable base (HBr is a stronger acid than HCl). This 
is supported by the hydrolysis data, when we compare 
the rate of hydrolysis for PhCHCl2 and PhCHBrCl. 
 
 
 
In both cases, the first step involves loss of a leaving 
group, and in both cases, the intermediate carbocation is 
the same. The only difference between these two 
reactions is the identity of the leaving group. According 
to the data provided, hydrolysis occurs more rapidly 
when the leaving group is bromide (k = 31.1 x104 /min) 
rather than chloride (k = 2.21 x104 /min). This is 
consistent with the expectation that bromide is a better 
leaving group than chloride. 
(b) If we compare the rates of hydrolysis for PhCH2Cl 
and PhCHCl2, we find that the presence of a chloro 
group (attached to C+) causes an increased rate of 
hydrolysis. A similar trend is observed if we compare 
PhCHCl2 and PhCCl3. Therefore, we can conclude that a 
chloro group will stabilize a carbocation (if the chloro 
group is attached directly to C+ of the carbocation). This 
stabilizing effect is unlikely to be caused by induction, 
because we expect the chloro group to be electron-
withdrawing via induction, which would destabilize the 
carbocation (rather than stabilize it). Instead, the effect 
must be explained with resonance, which overwhelms 
the inductive effect. Specifically, the presence of a 
chloro group stabilizes the carbocation intermediate by 
spreading the charge via resonance. 
 
 
 
(c) If we compare the rates of hydrolysis for PhCHBr2 
and PhCBr3, we find that the presence of a bromo group 
(attached to C+) causes an increased rate of hydrolysis. 
This is likely explained as a resonance effect, just as we 
saw in part (b). 
 
(d) Compare hydrolysis of PhCHBrCl with hydrolysis of 
PhCHBr2. In both cases, the identity of the leaving group 
is the same (bromide). But the resulting carbocations are 
different. 
 
 
 
Comparing the rates of hydrolysis indicates that an 
adjacent chloro group more effectively stabilizes a 
carbocation than an adjacent bromo group. 
(e) Comparison of PhCHCl2 versus PhCHBr2 suggests 
that the better leaving group ability of the bromide ion is 
more important than the greater carbocation stability 
afforded by the chlorine atom via resonance. 
 
 
7.104. The sulfur atom provides anchimeric assistance via an intramolecular nucleophilic SN2-type reaction. That is, a 
lone pair on the sulfur atom functions as a nucleophile, ejecting the leaving group (causing the liberation of SO2 gas, as 
described in the problem statement) to form an intermediate with a positively charged sulfur atom. This intermediate is 
then attacked by a chloride ion to give 3. Each of these two steps proceeds with inversion of configuration, as 
expected, which gives a net overall retention of configuration. 
 
 
 
 
 
www.MyEbookNiche.eCrater.com

Mais conteúdos dessa disciplina