Logo Passei Direto
Buscar
Material
páginas com resultados encontrados.
páginas com resultados encontrados.

Prévia do material em texto

262 CHAPTER 8 
 
is not relevant because the two groups added (OH and 
OH) are identical. We expect the reaction to proceed 
via an anti addition. In this case, two chiral centers are 
formed, so we expect the pair of enantiomers resulting 
from an anti addition: 
 
 
 
 
8.58. 
(a) Hydroboration-oxidation gives an anti-Markovnikov 
addition. If 1-propene is the starting material, the OH 
group will not be installed in the correct location. Acid-
catalyzed hydration of 1-propene would give the desired 
product. 
(b) Hydroboration-oxidation gives a syn addition of H 
and OH across a double bond. This compound does not 
have a proton that is cis to the OH group, and therefore, 
hydroboration-oxidation cannot be used to make this 
compound. 
(c) Hydroboration-oxidation gives an anti-Markovnikov 
addition. There is no starting alkene that would yield the 
desired product via an anti-Markovnikov addition. 
 
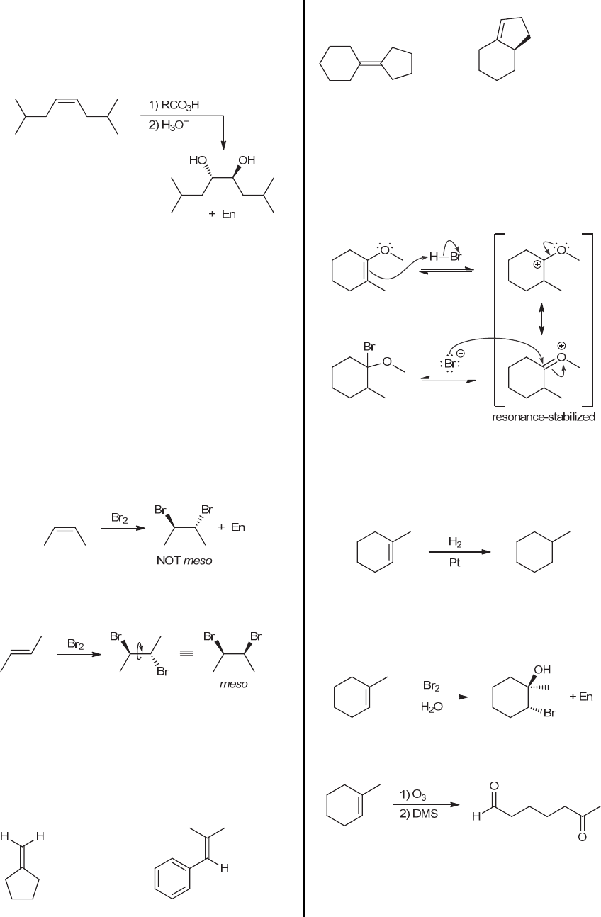
8.59. Bromination of cis-2-butene does NOT give the 
desired meso compound: 
 
 
 
In contrast, trans-2-butene gives the desired meso 
compound, as shown: 
 
 
 
Therefore, compound X is trans-2-butene. 
 
8.60. In each of the following cases, we draw the 
necessary alkene by removing the oxygen atoms from 
the product and connecting the sp2 hybridized carbon 
atoms to form a C=C bond: 
 
(a) (b) 
 
 
(c) (d) 
 
 
 
8.61. In the presence of a strong acid, the  bond is 
protonated to give a resonance-stabilized cation (shown 
below), which is even lower in energy than a tertiary 
carbocation. This protonation step determines the 
regiochemical outcome of the reaction, because the 
resonance-stabilized cation is captured by a bromide ion 
to give the product, as shown. 
 
 
 
8.62. 
(a) The two groups being added across the alkene are H 
and H, which can be accomplished by treating the alkene 
with molecular hydrogen (H2) in the presence of a 
suitable catalyst. 
 
 
 
(b) The two groups being added across the alkene are Br 
and OH in an anti fashion, with the latter being installed 
at the more substituted position. This can be achieved by 
treating the alkene with Br2 in the presence of water 
(halohydrin formation): 
 
 
(c) Cleavage of the C=C double bond can be achieved 
via ozonolysis: 
 
 
 
(d) The two groups being added across the alkene are H 
and OH. The OH group must be installed at the less-
substituted carbon atom, so we must use conditions that 
give an anti-Markovnikov addition of H and OH. This 
www.MyEbookNiche.eCrater.com

Mais conteúdos dessa disciplina