Logo Passei Direto
Buscar
Material
páginas com resultados encontrados.
páginas com resultados encontrados.

Prévia do material em texto

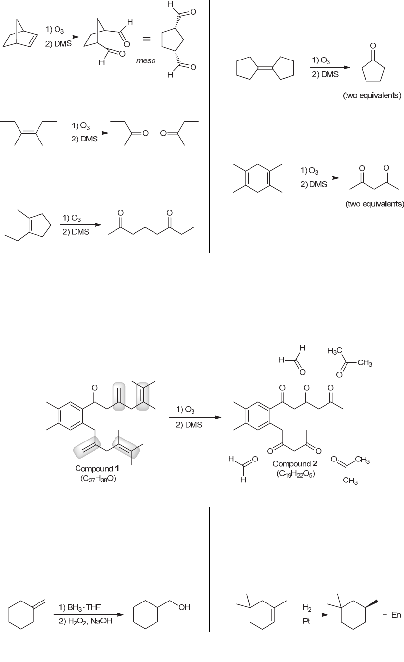
CHAPTER 8 251 
 
 
 
(f) The C=C bond is split apart and redrawn as two C=O 
bonds, giving two equivalents of the same product: 
 
 
 
8.29. 
(a) We can draw the starting alkene by removing the two 
oxygen atoms from the product, and connecting the sp2 
hybridized carbon atoms as a C=C bond: 
 
 
 
(b) In this case, the starting alkene has ten carbon atoms 
while the product has only five carbon atoms. Therefore, 
one equivalent of the starting alkene must produce two 
equivalents of the product: 
 
 
(c) In this case, the starting alkene has ten carbon atoms 
while the product has only five carbon atoms. Therefore, 
one equivalent of the starting alkene must produce two 
equivalents of the product: 
 
 
 
 
 
 
8.30. The starting material (C27H38O) has only one oxygen atom, while compound 2 (C19H22O5) has five oxygen 
atoms. The insertion of four oxygen atoms (and the production of four small molecules) indicates that four C=C bonds 
(highlighted below) undergo ozonolysis. The other three C=C bonds (in the ring) are part of the aromatic system, 
which is unreactive toward ozonolysis, as mentioned in the problem statement. To draw the products of ozonolysis, 
each C=C bond is split apart and redrawn as two C=O bonds. This gives compound 2, shown below, along with two 
molecules of formaldehyde (CH2O) and two molecules of acetone ((CH3)2CO). 
 
 
 
8.31. 
(a) The reagents indicate a hydroboration-oxidation, so 
the net result will be the addition of H and OH across the 
alkene. For the regiochemical outcome, we expect an 
anti-Markovnikov addition, so the OH group is installed 
at the less-substituted position. The stereochemical 
outcome (syn addition) is not relevant in this case, 
because the product has no chiral centers: 
 
 
(b) The reagents indicate a hydrogenation reaction, so 
the net result will be the addition of H and H across the 
alkene. The regiochemical outcome is not relevant 
because the two groups added (H and H) are identical. 
We expect the reaction to proceed via a syn addition, but 
only one chiral center is formed. Therefore, both 
enantiomers are obtained because syn addition can occur 
from either face of the starting alkene: 
 
 
www.MyEbookNiche.eCrater.com

Mais conteúdos dessa disciplina