Logo Passei Direto
Buscar
Material
páginas com resultados encontrados.
páginas com resultados encontrados.

Prévia do material em texto

CHAPTER 8 243 
 
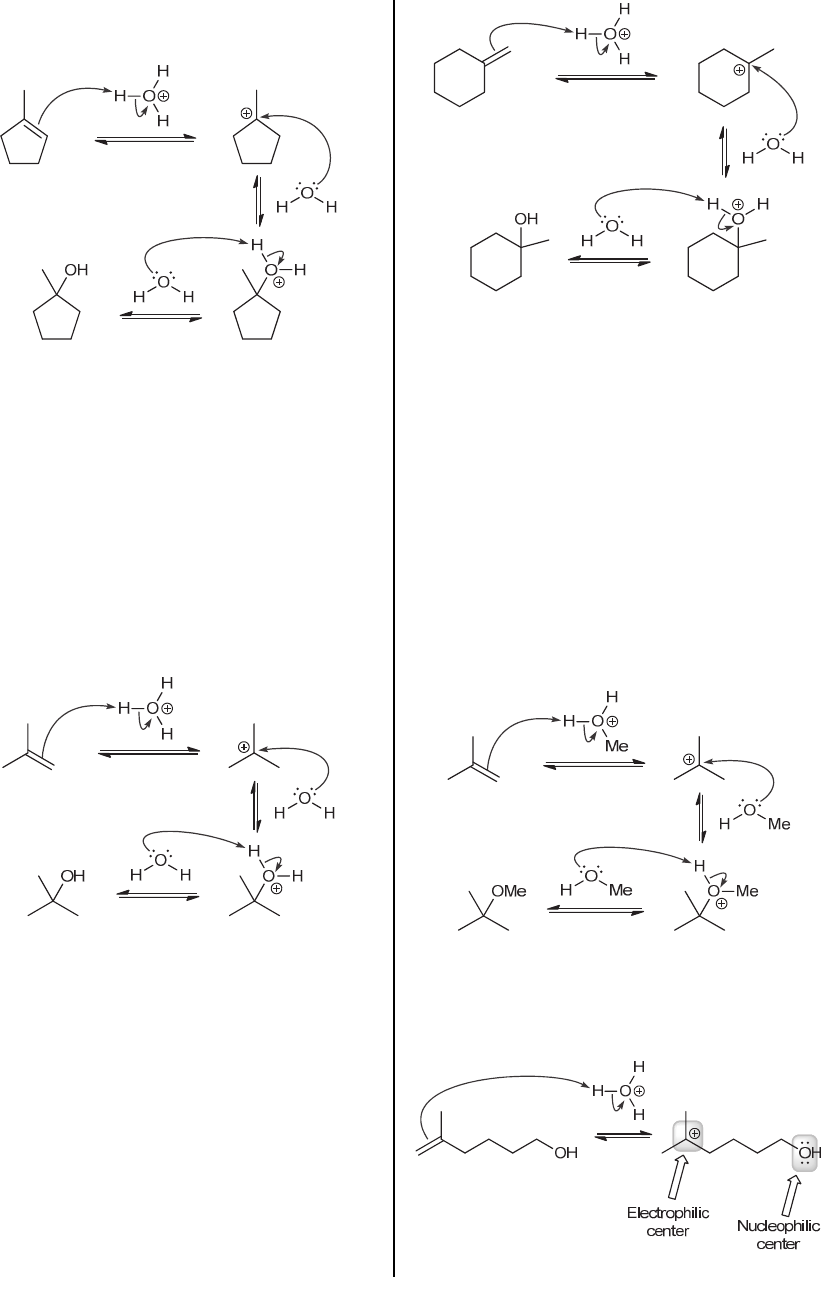
This final step is a proton transfer step, and therefore 
requires two curved arrows, as shown: 
 
 
 
(b) Water (H and OH) is added across the alkene in a 
Markovnikov fashion. The mechanism is expected to 
have three steps: 1) proton transfer, 2) nucleophilic 
attack, and 3) proton transfer. In the first step, a proton 
is transferred from H3O+ to the alkene, which requires 
two curved arrows, as shown below. The resulting 
tertiary carbocation is then captured by a water molecule 
in the second step of the mechanism. This step requires 
one curved arrow, going from the nucleophile (water) to 
the electrophile (the carbocation). Then, in the final step 
of the mechanism, a molecule of water functions as a 
base and removes a proton, thereby generating the 
product. This final step is a proton transfer step, and 
therefore requires two curved arrows, as shown: 
 
 
 
(c) Water (H and OH) is added across the alkene in a 
Markovnikov fashion. The mechanism is expected to 
have three steps: 1) proton transfer, 2) nucleophilic 
attack, and 3) proton transfer. In the first step, a proton 
is transferred from H3O+ to the alkene, which requires 
two curved arrows, as shown. The resulting tertiary 
carbocation is then captured by a water molecule in the 
second step of the mechanism. This step requires one 
curved arrow, going from the nucleophile (water) to the 
electrophile (the carbocation). Then, in the final step of 
the mechanism, a molecule of water functions as a base 
and removes a proton, thereby generating the product. 
This final step is a proton transfer step, and therefore 
requires two curved arrows, as shown: 
 
 
 
8.11. 
(a) Methanol (H and OCH3) is added across the alkene 
in a Markovnikov fashion. The reaction is extremely 
similar to the addition of water across an alkene under 
acid-catalyzed conditions, so we expect the mechanism 
to have three steps: 1) proton transfer, 2) nucleophilic 
attack, and 3) proton transfer. In the first step, a proton 
is transferred from CH3OH2
+ to the alkene, which 
requires two curved arrows, as shown below. The 
resulting tertiary carbocation is then captured by a 
molecule of methanol in the second step of the 
mechanism. This step requires one curved arrow, going 
from the nucleophile (methanol) to the electrophile (the 
carbocation). Then, in the final step of the mechanism, a 
molecule of methanol functions as a base and removes a 
proton, thereby generating the product. This final step is 
a proton transfer step, and therefore requires two curved 
arrows, as shown: 
 
 
(b) The reactant is acyclic (it does not have a ring), and 
the product is cyclic, indicating an intramolecular 
reaction. We can justify an intramolecular reaction if we 
inspect the cation that is obtained upon protonation of 
the alkene: 
 
 
www.MyEbookNiche.eCrater.com

Mais conteúdos dessa disciplina