Logo Passei Direto
Buscar
Material
páginas com resultados encontrados.
páginas com resultados encontrados.

Prévia do material em texto

242 CHAPTER 8 
 
tertiary carbocation. In the final step of the mechanism 
(nucleophilic attack), the carbocation is captured by a 
chloride ion. This step requires one curved arrow, going 
from the nucleophile (chloride) to the electrophile (the 
carbocation), as shown: 
 
 
 
8.7. 
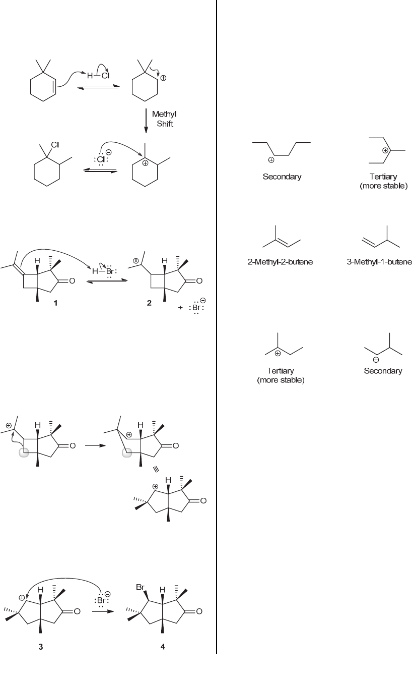
(a) The mechanism begins with protonation of the 
carbon-carbon double bond to form a tertiary 
carbocation. This step requires two curved arrows: 
 
 
 
Although both ends of the double bond are doubly 
substituted, and therefore would yield a tertiary 
carbocation, only structure 2 can enable the subsequent 
rearrangement. 
Next, the highlighted carbon atom shifts, giving the 
rearrangement shown. This step requires one curved 
arrow: 
 
 
In the final step of the mechanism, a bromide ion 
(produced in the first step) captures the carbocation to 
form an alkyl bromide. This step requires one curved 
arrow: 
 
(b) This rearrangement involves a ring expansion, and it 
is favorable because ring strain is released when a 
strained four-membered ring becomes a more stable five-
membered ring, even though the resulting carbocation is 
secondary rather than tertiary. 
 
8.8. 
(a) The second compound (highlighted) is expected to 
be more reactive toward acid-catalyzed hydration than 
the first compound, because the reaction proceeds via a 
tertiary carbocation, rather than via a secondary 
carbocation, as shown. 
 
 
 
(b) Begin by drawing the compounds: 
 
 
 
The first compound (2-methyl-2-butene) is expected to 
be more reactive toward acid-catalyzed hydration than 
the second compound, because the reaction proceeds via 
a tertiary carbocation, rather than a secondary 
carbocation. 
 
 
8.9. 
(a) To favor the alcohol, dilute sulfuric acid (mostly 
water) is used. The presence of a lot of water favors the 
alcohol, according to Le Châtelier’s principle. 
(b) To favor the alkene, concentrated sulfuric acid 
(which has less water than dilute acid) is used. With less 
water present, the alkene is favored, according to Le 
Châtelier’s principle. 
 
 
8.10. 
(a) Water (H and OH) is added across the alkene in a 
Markovnikov fashion. The mechanism is expected to 
have three steps: 1) proton transfer, 2) nucleophilic 
attack, and 3) proton transfer. In the first step, a proton 
is transferred from H3O+ to the alkene, which requires 
two curved arrows, as shown. The resulting tertiary 
carbocation is then captured by a water molecule in the 
second step of the mechanism. This step requires one 
curved arrow, going from the nucleophile (water) to the 
electrophile (the carbocation). Then, in the final step of 
the mechanism, a molecule of water functions as a base 
and removes a proton, thereby generating the product. 
www.MyEbookNiche.eCrater.com

Mais conteúdos dessa disciplina