Logo Passei Direto
Buscar
Material
páginas com resultados encontrados.
páginas com resultados encontrados.

Prévia do material em texto

CHAPTER 13 463 
 
(c) The oxygen atom is connected to two carbon atoms, 
each of which is sp3 hybridized. Therefore, each of the 
CO bonds is cleaved, giving two equivalents of 2-
bromopropane. 
 
 
 
(d) The oxygen atom is connected to two carbon atoms, 
each of which is sp3 hybridized. Therefore, each of the 
CO bonds is cleaved. As a result, the ring is opened, 
giving a dibromide, as shown. 
 
 
 
13.28. Ethers have the following structure: 
 
 
 
We are looking for ethers with the molecular formula 
C4H10O, which means that the four carbon atoms must be 
contained in the two R groups of the ether. One 
possibility is that each R group has two carbon atoms. 
 
 
 
Alternatively, one R group can have three carbon atoms 
and the other R group can have one carbon atom. The R 
group containing three carbon atoms can either be a 
propyl group or an isopropyl group, giving the following 
two additional isomers: 
 
O O
1-methoxypropane
2-methoxypropane(methyl propyl ether)
(isopropyl methyl ether) 
 
In total, there are three constitutionally isomeric ethers 
with the molecular formula C4H10O. 
 
 
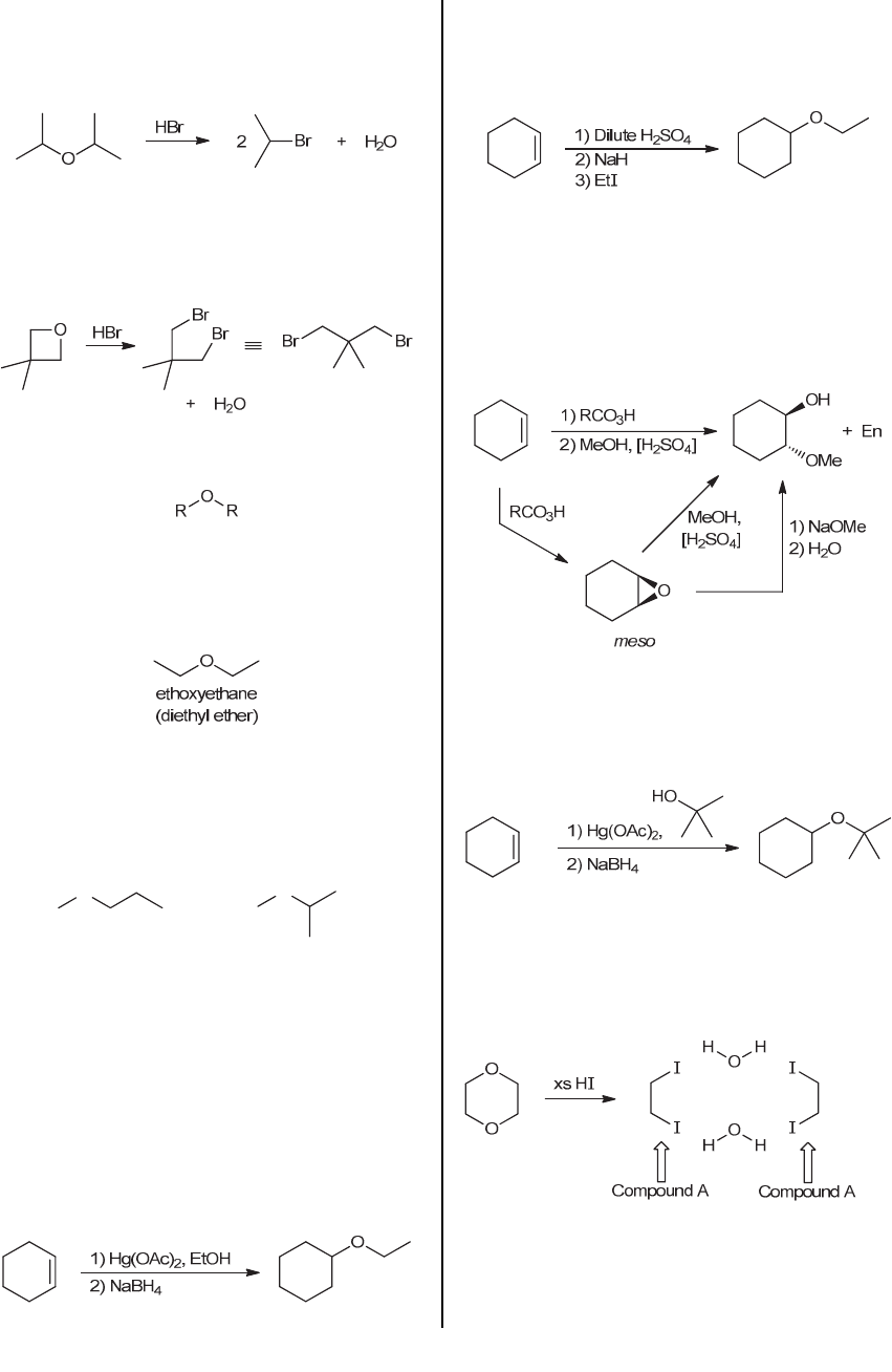
13.29. 
(a) The desired transformation involves addition of H 
and OEt across a  bond. This can be achieved via 
alkoxymercuration-demercuration, where EtOH is used 
as the alcohol during the alkoxymercuration step: 
 
 
 
Alternatively, cyclohexene can be treated with dilute 
sulfuric acid to give cyclohexanol, which can then be 
used in a Williamson ether synthesis, together with ethyl 
iodide, to give the desired product: 
 
 
 
(b) The desired transformation involves an anti addition 
of OH and OMe across a  bond. This can be achieved 
by converting cyclohexene into an epoxide (upon 
treatment with a peroxy acid), followed by a ring 
opening reaction. The second step of this process 
(opening the ring) can be performed under either acidic 
conditions or basic conditions. 
 
 
 
(c) The desired transformation involves addition of H 
and OR across a  bond. This can be achieved via 
alkoxymercuration-demercuration, where (CH3)3COH is 
used as the alcohol during the alkoxymercuration step. 
 
 
 
 
13.30. 
(a) There are four CO bonds, and each of them is 
cleaved under acidic conditions and replaced with a CI 
bond, giving two moles of compound A and two moles 
of water. 
 
 
(b) As seen in the previous solution (14.34a), two moles 
of compound A are produced for every one mole of 1,4-
dioxane. 
 
www.MyEbookNiche.eCrater.com

Mais conteúdos dessa disciplina