Logo Passei Direto
Buscar
Material
páginas com resultados encontrados.
páginas com resultados encontrados.

Prévia do material em texto

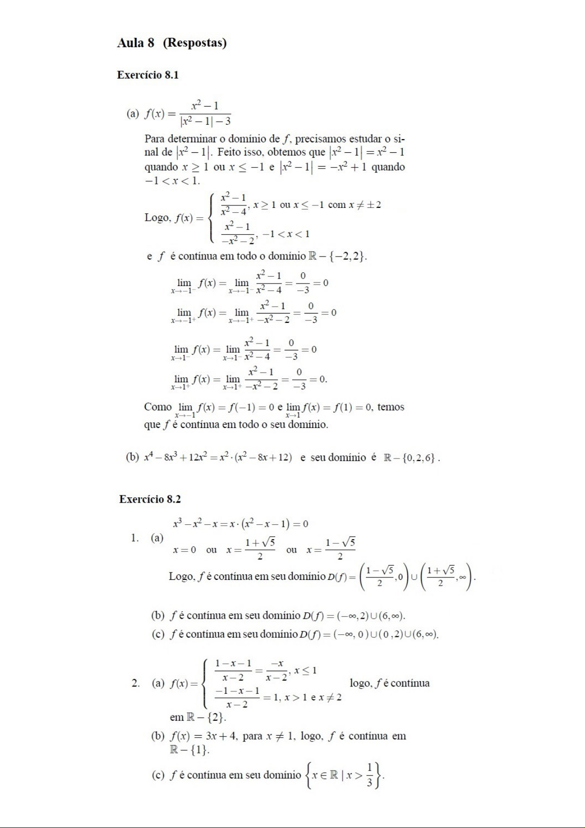
Aula 8 (Respostas) Exercício 8.1 Para determinar o domínio de f, precisamos estudar o si- nal de Feito isso, obtemos que quando ou ≤ +1 quando VI Logo, f(x) e f é contínua em todo o domínio R {-2,2}. Como lim f(x) = = e temos que f é contínua em todo o seu domínio. (b) e seu domínio é -{0,2,6} Exercício 8.2 1. (a) Logo, é contínua em seu domínio D(f) = (b) f é contínua em seu domínio (c) f é contínua em seu domínio D(f) = 2. (a) logo, é contínua (b) = 3x + 4, para x # 1, logo, fé contínua em R-{1}. (c) é contínua em seu domínio

Mais conteúdos dessa disciplina