Logo Passei Direto
Buscar
Material
páginas com resultados encontrados.
páginas com resultados encontrados.

Prévia do material em texto

610 CHAPTER 17 
 
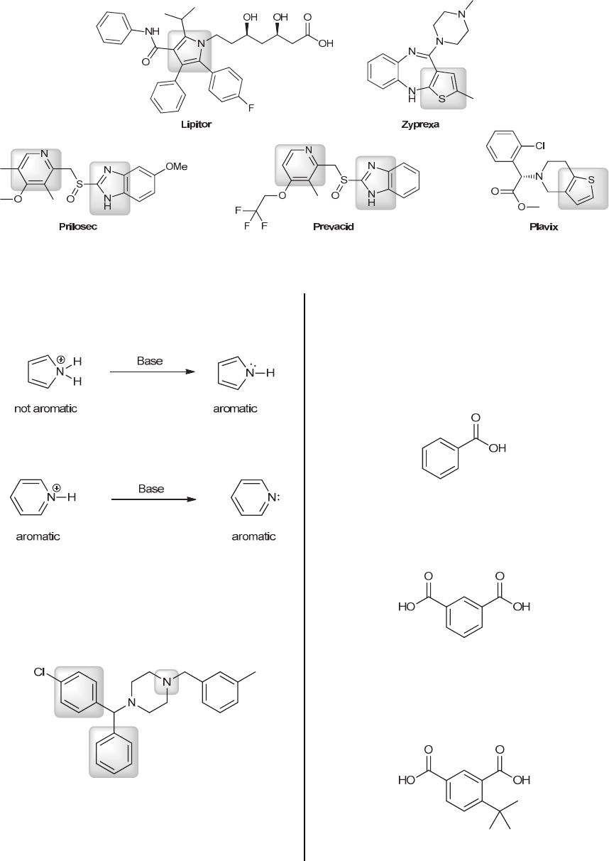
17.14. In addition to the aromatic rings indicated in the structures of the best-selling drugs (Section 17.1), each of the 
highlighted rings also has a continuous system of overlapping p orbitals, with six  electrons, and is therefore aromatic: 
 
 
 
 
 
17.15. The first compound is expected to be more 
acidic (has a lower pKa), because deprotonation restores 
aromaticity to the ring. 
 
 
 
The second compound is already aromatic, even before 
deprotonation. 
 
 
 
In this case, the driving force for losing the proton is not 
as great. 
 
17.16. 
(a) Yes, it has the required pharmacophore (two aromatic 
rings separated by one carbon atom, and a tertiary 
amine). 
 
 
(b) Meclizine is mostly nonpolar, so it crosses the blood-
brain barrier and binds with receptors in the central 
nervous system, causing sedation. 
 
(c) Introduce polar functional groups (such as OH groups 
or COOH groups) that reduce the ability of the 
compound to cross the blood-brain barrier. 
 
 
17.17. 
(a) The benzylic position undergoes oxidation, giving a 
carboxylic acid: 
 
 
(b) Each of the benzylic positions undergoes oxidation. 
Notice that oxidation of the ethyl group involves 
cleavage of a C-C bond to give a diacid with one less 
carbon atom than the starting material. 
 
 
 
(c) There are three benzylic positions, but one of these 
positions (the tert-butyl group) lacks a benzylic proton, 
and as such, that position does not undergo oxidation. 
The other two benzylic positions undergo oxidation, 
giving the following diacid. 
 
 
 
 
www.MyEbookNiche.eCrater.com

Mais conteúdos dessa disciplina