Logo Passei Direto
Buscar

Ferramentas de estudo

Material
páginas com resultados encontrados.
páginas com resultados encontrados.

Prévia do material em texto

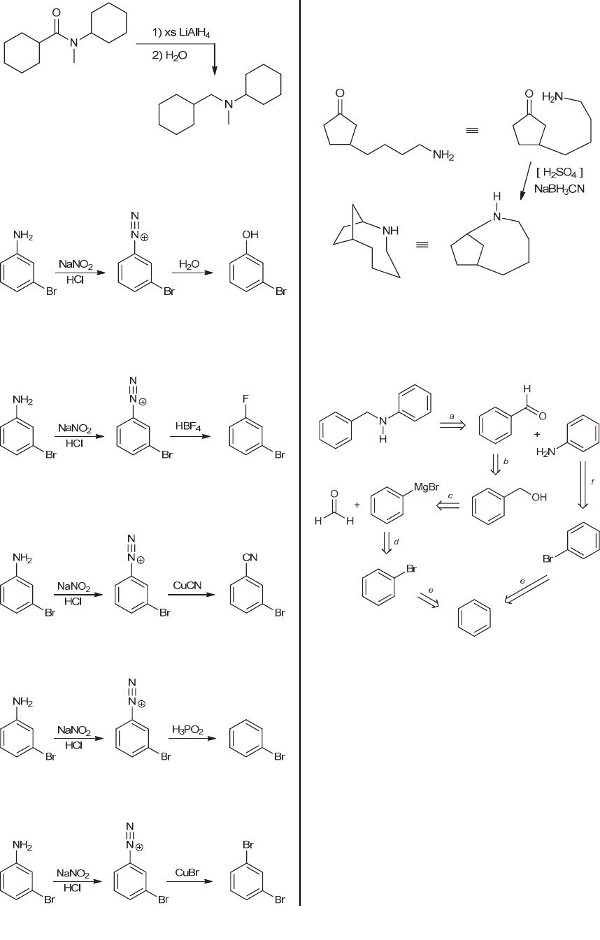
944 CHAPTER 22 
 
 
 
22.66. 
(a) Upon treatment with water, the diazonium group is 
replaced with a hydroxyl group, giving meta-
bromophenol: 
 
 
(b) Upon treatment with HBF4, the diazonium group is 
replaced with a fluorine atom (via a Schiemann 
reaction), as shown: 
 
 
(c) Upon treatment with CuCN, the diazonium group is 
replaced with a cyano group via a Sandmeyer reaction: 
 
 
 
(d) Upon treatment with H3PO2, the diazonium group is 
replaced with a hydrogen atom, giving bromobenzene: 
 
 
 
(e) Upon treatment with CuBr, the diazonium group is 
replaced with a bromine atom via a Sandmeyer reaction: 
 
 
22.67. In this case, the carbonyl group and the amino 
group are tethered together (both functional groups are 
present in one compound), so we expect an 
intramolecular reductive amination to occur, thereby 
forming a new ring to give a bicyclic product, as shown: 
 
 
 
22.68. 
(a) There are certainly many acceptable solutions to this 
problem. One such solution derives from the following 
retrosynthetic analysis. An explanation of each of the 
steps (a-f) follows. 
 
 
 
a. The product is a secondary amine, which can be 
made from benzaldehyde and aniline via a reductive 
amination. 
b. Benzaldehyde can be made from benzyl alcohol via 
oxidation (with PCC or with DMP or via a Swern 
oxidation). 
c. Benzyl alcohol can be made from phenyl 
magnesium bromide and formaldehyde, via a 
Grignard reaction. 
d. Phenyl magnesium bromide can be made from 
bromobenzene, upon treatment with magnesium. 
e. Bromobenzene can be made from benzene via an 
electrophilic aromatic substitution reaction. 
f. Aniline can be made from bromobenzene via 
elimination-addition. 
 
www.MyEbookNiche.eCrater.com

Mais conteúdos dessa disciplina