Logo Passei Direto
Buscar
Material
páginas com resultados encontrados.
páginas com resultados encontrados.

Prévia do material em texto

924 CHAPTER 22 
 
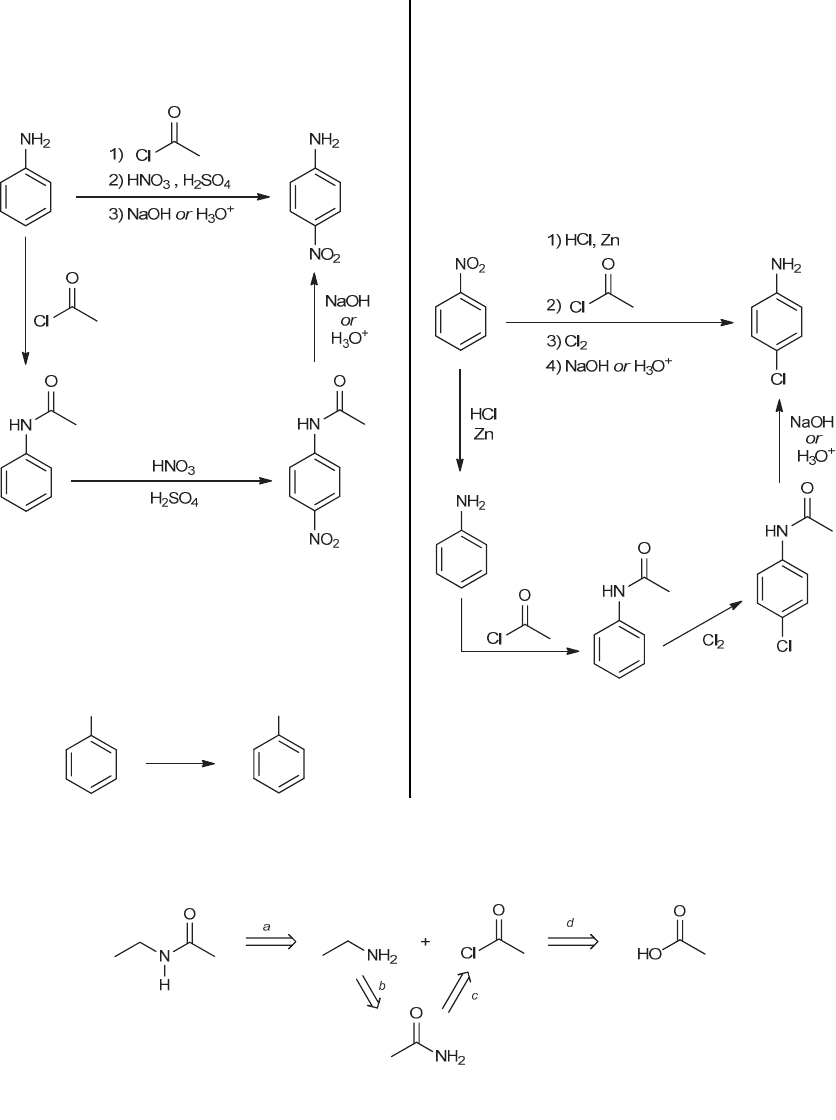
22.20. Acetylation of the amino group allows for direct 
nitration of the ring (in the para position). After 
nitration is complete, the acetyl group can be removed in 
aqueous basic or acidic conditions: 
 
 
 
22.21. Direct chlorination of nitrobenzene would result 
in a meta-disubstituted product (because the nitro group 
is meta-directing). So we must first reduce the nitro 
group into an amino group, thereby converting a meta 
director into an ortho-para director: 
 
NH2NO2
 
 
Monochlorination of aniline (in the para position) will 
then give the product. Unfortunately, aniline will not 
efficiently undergo monochlorination (the ring is too 
highly activated to install just one chlorine atom). 
However, the strongly activating effect of the amino 
group can be temporarily diminished via acetylation. 
Then, after monochlorination has been performed, the 
acetyl group can be removed in aqueous basic or acidic 
conditions. The entire synthesis is shown here: 
 
 
 
 
 
 
22.22. There are certainly many acceptable solutions to this problem. One such solution derives from the following 
retrosynthetic analysis. An explanation of each of the steps (a-d) follows. 
 
 
 
a. The product can be made from ethyl amine and acetyl chloride, via a nucleophilic acyl substitution reaction. 
b. Ethyl amine can be made from acetamide via reduction with LiAlH4, followed by water work-up. 
c. Acetamide can be made from acetyl chloride, via a nucleophilic acyl substitution reaction. 
d. Acetyl chloride can be made from acetic acid upon treatment with thionyl chloride. 
 
Now let’s draw the forward scheme. Acetic acid is treated with thionyl chloride to give acetyl chloride. One 
equivalent of acetyl chloride is converted into ethyl amine (via aminolysis, followed by reduction), which is then 
treated with another equivalent of acetyl chloride to give the product: 
 
www.MyEbookNiche.eCrater.com

Mais conteúdos dessa disciplina