Logo Passei Direto
Buscar
Material
páginas com resultados encontrados.
páginas com resultados encontrados.

Prévia do material em texto

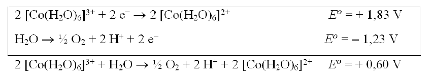
Os complexos de cobalto com aminas foram extensivamente estudados por Werner e foram muito importantes para o desenvolvimento das primeiras teorias sobre complexos.Os estados de oxidação mais comuns do cobalto são: +2 e +3. Entretanto, a espécie [Co(H2O)6]3+ reage facilmente com a água , conforme mostrado nas equações abaixo: 
Segundo a Teoria do Campo Cristalino (TCC) o ligante “amino” (ou “amin”) é mais forte que o ligante “aquo” (ou “aqua”) e este último, mais forte que o ligante “cloro”. Assim, considerando-se apenas a força dos ligantes, pode-se supor que os complexos de cobalto com amônia são mais estáveis que os complexos de cobalto com ânions cloreto na esfera de coordenação. Isso pode ser verificado experimentalmente para os compostos: [Co(NH3)6]Cl3 e [CoCl(NH3)5]Cl2. Enquanto o primeiro é bastante estável em soluções aquosas, o segundo reage com água produzindo [Co(NH3)5H2O]Cl3.
O complexo [Co(NH3)5Cl]Cl2 é um composto cristalino, de cor violeta-avermelhado, com estrutura octaédrica, pouco solúvel em água fria, etanol e éter. Este composto decompõe-se acima de 150oC liberando NH3(g). A obtenção pode ser feita por diversos processos, partindo por exemplo, de CoCl2.6H2O, ou então dos complexos de Co3+ como [Co(NH3)5CO3]NO3. A equação da reação a partir de CoCl2.6H2O pode ser escrita: 2CoCl2.6H2O + 2NH4Cl + 8NH3 + H2O2→ 2[Co(NH3)5Cl]Cl2 + 14H2O
Como exemplos de isômeros de ligação podem ser relacionados os complexos [Co(NH3)5NO2]2+ e [Co(NH3)5ONO]2+, onde o íon NO2 coordena-se, no primeiro caso, através do átomo de nitrogênio e no segundo, através do átomo de oxigênio.
Os isômeros nitro e nitrito de cobalto de fórmula [Co(NH3)5NO2]Cl2 pode ser primeiramente identificados e diferenciados por suas coloração. Onde o cloreto de pentaminitrocobalto(III), [Co(NH3)5NO2]Cl2, é amarelo (amarelo-tijolo) o cloreto de pentaminitritocobalto(III), [Co(NH3)5ONO]Cl2, é róseo (salmão). 
A espectrofotometria de absorção molecular no UV/Visível pode confirmar o real comprimento de onda da absorção, que é responsável pela coloração do composto. Já na espectrometria na região do infravermelho é possível verificar os estiramentos e dobramentos das ligações do metal e do ligante, logo para o composto obtido há distinções nos estiramentos de NO2- e ONO-, em detrimento de sua estrutura correspondente. 
Síntese de isômeros inorgânicos de Cobalto e realizar um estudo de isomerização e caracterização estrutural através de técnicas espectroscópicas e análise óptica simples. Preparar o composto de Cobalto de fórmula [Co(NH3)5ONO]Cl2; Estudar a existência de isomeria de ligação nos compostos sintetizados; Verificar a existência de isômeros de ligação por meio da observação da coloração dos compostos obtidos; Com resultados de análises de espectrofotometria no Ultravioleta/Visível realizar a diferenciação dos isômeros nitro e nitrito de Cobalto; A partir de dados de espectrometria na região do Infravermelho comparar o comportamento dos compostos obtidos.
A adição de ácido à mistura em equilíbrio favorece a precipitação do isômero nitro. No entanto, em meio de HCl concentrado, o nitro complexo se solubiliza lentamente.
Através da análise eletromagnética dos complexos pode-se obter o comprimento de onda da amostra e assim calcular o parâmetro de desdobramento do campo ligante, ∆0, o parâmetro de desdobramento do campo ligante varia sistematicamente de acordo com a identidade do ligante. Por exemplo, na série dos complexos [CoX(NH3)5]n+ com X= I-, Br-, Cl-, H2O e NH3, as cores variam do purpura intenso (para X= I -), passando pelo rosa ( para Cl -), até o amarelo (com NH3). Esta sequencia indica que a energia da transição eletrônica de menor energia (portanto o ∆0) aumenta a medida que os ligantes variam ao longo de uma série. Assim através da espectroscopia UV-Vis visível obteve-se os comprimentos de onda para posterior calculo do parâmetro de desdobramento do campo ligante

Mais conteúdos dessa disciplina