Logo Passei Direto
Buscar
Material
páginas com resultados encontrados.
páginas com resultados encontrados.
left-side-bubbles-backgroundright-side-bubbles-background

Crie sua conta grátis para liberar esse material. 🤩

Já tem uma conta?

Ao continuar, você aceita os Termos de Uso e Política de Privacidade

left-side-bubbles-backgroundright-side-bubbles-background

Crie sua conta grátis para liberar esse material. 🤩

Já tem uma conta?

Ao continuar, você aceita os Termos de Uso e Política de Privacidade

left-side-bubbles-backgroundright-side-bubbles-background

Crie sua conta grátis para liberar esse material. 🤩

Já tem uma conta?

Ao continuar, você aceita os Termos de Uso e Política de Privacidade

Prévia do material em texto

Relatório do desenvolvimento: Transformada de Laplace aplicada a um circuito RLC em série
Universidade Estadual de Feira de Santana
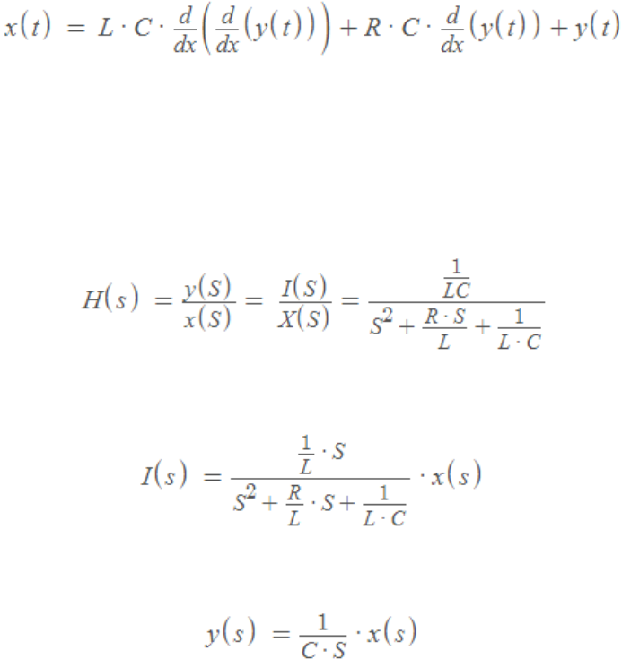
Podemos usar a transformada de Laplace para analisar circuitos elétricos e assim obter uma prévia da resposta do circuito. Para aplicar a transformada de Laplace no circuito RLC, inicialmente devemos obter a descrição por equações diferenciais. Para o caso de um circuito RLC aplicamos a segunda lei de Kirchoff para obter a EDO do circuito.
EDO Obtida para o circuito RLC em série: 
A partir da EDO encontrada podemos obter a transformada de Laplace do circuito. Aplicando a Transformada de Laplace obtemos a função de transferência H(S), também conhecida como função de rede do circuito.
A função H(s) relaciona a saída e a entrada de um sistema no domínio da frequência complexa. H(s) do circuito RLC é descrita por:
A corrente no circuito pode ser obtida a partir da equação:
A tensão no capacitor y(t) é obtida a partir de I(s):
A Resposta em Frequência pode ser obtida substituindo da equação H(jω) a variável complexa s = σ + jω pela variável complexa constituída apenas de sua parte imaginária jω.
A demonstração do circuito foi realizada utilizando o software Matlab. A função "iLaplace" foi usada para encontrar a transformada inversa de Laplace e assim obter a corrente no circuito. A partir do valor encontrado para a corrente foi encontrado o valor da tensão no capacitor. Para se obter a resposta ao impulso e a resposta ao degrau, foram usados as funções "impulse" e "step" respectivamente. Os polos e zeros foram encontrados usando a função “tfzp” passando como argumento o numerador e denominador da função de transferência. Para obter a resposta em frequência, foi usado a função “Bode”.
As imagens a seguir apresentam os dados obtidos:

Mais conteúdos dessa disciplina