Logo Passei Direto
Buscar
Material
páginas com resultados encontrados.
páginas com resultados encontrados.
left-side-bubbles-backgroundright-side-bubbles-background

Crie sua conta grátis para liberar esse material. 🤩

Já tem uma conta?

Ao continuar, você aceita os Termos de Uso e Política de Privacidade

left-side-bubbles-backgroundright-side-bubbles-background

Crie sua conta grátis para liberar esse material. 🤩

Já tem uma conta?

Ao continuar, você aceita os Termos de Uso e Política de Privacidade

Prévia do material em texto

DETERMINAÇÃO GRAVIMÉTRICA DE NÍQUEL COM DMG
3RESULTADOS E DISCUSSÃO
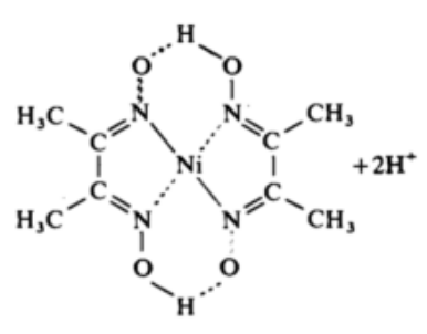
Neste experimento utilizou-se de solução alcoólica de dimetilglioxima (DMG) a 1%, agente precipitante, para reagir com solução de NiCl2, a fim de se obter o Ni2`+o mais puro possível. A reação é representada naequação abaixo:
Ni2`++2C4H6(NOH)2↔ Ni[C4H6(NOH)(NO)2]↓ +2H+
(Eq. 01)
O Ni2`+desloca um próton de um grupo oxima (-NOH) em cada molécula de DMG, mas é complexado a partir dos pares de elétrons nos quatro nitrogênios e não com os elétrons do oxigênio.[2]
A adição de DMG na solução de cloreto de níquel foi feita de forma lenta e sob constante agitação, para que fossem eliminados erros de preparação e possível formação de colóides. Controlaram-se também as temperaturas, que variaram entre 60 e 70ºC, para que não volatilizasse o agente precipitante, e o pH. O controle do pH nesse caso é de extrema importância, pois a solubilidade do precipitado varia com o pH do meio.
A digestão, ou envelhecimento do precipitado, é essencial para otimizar a formação dos cristais, uma vez que o precipitado fica um período mergulhado em água-mãe, que promove uma lenta cristalização, aumenta o tamanho da partícula. Essa etapa também promove a purificação dos cristais, pois as impurezas que inicialmente estão alojadasno interior dos cristais são expulsas.
Fator gravimétrico é um fator de conversão para a forma química desejada quando o constituinte não é pesado na forma química em que o resultado será expresso. Esse fator é representado pela razão entre a massa atômica ou molecular da substância procurada e a massa da substância pesada, mostrado na equação 02 que segue:
F=MM(Ni2`)/ MM( 2C4H6(NOH)2) 
(Eq. 02)
Nesse cálculo,utilizou-se 58,69 g/mol do analito (Ni2`+) e 288,91 g/mol do precipitado Ni [C4H6(NOH)(NO)2], determinando o fator gravimétrico F = 0,2031.
Para o cálculo da massa do precipitado, temos:
Mppt =Mtotal– Mvidro de relógio– Mpapel de filtro
(Eq.03)
Mppt= 35,519g – 35,124g – 0,297g
Mppt= 0,098g
Como foi feito apenas uma analise, não há media.
Considerando a estequiometria da (Eq. 01) conseguimos obter a massa do reagente por meio da massa do produto, portanto a massa de Níquelfoi de 0,0199g, ouseja, 19,9mg a cada 100ml.
Calculamos a massa teórica do Níquel supondo que toda Níquel tenha sido precipitado então tenha sido perdido massa durante a filtração,por meio do produto da massa média de precipitado pelo fator gravimétrico, obtemos o valor de 0,025. Com base nestes valores calculamos o erro relativo de 17,65%. Algumas possibilidades de erros nestes processos podem ocorrer na hora de filtrar a solução no funil de Büchner e perder massa do precipitado, se a precipitação de Níquel com o DMGpode não ter sido realizada por completo, se não for retirada toda a água ao levar a massa para a estufa, entre outros erros indetermináveis. 
4CONCLUSÕES
Para diminuir os possíveis erros durante o processo é preciso tomar cuidado ao filtrar a solução no funil de Büchner para não deixar escapar massa de precipitado pelas entranhas, verificar se a precipitação ocorreu por completo utilizando NH4OH e ao levar a estufa certificar-se que toda a água foi removida para não adulterar a massa de precipitado.
A exatidão do nosso método foi de 82.35 %, uma vez que o erro relativo foi de 17,65 %. Este valor pode ter sido obtido devido ao fato de perdas de massa durante o processo de filtração ou toda água não foi eliminada durante a secagem na estufa. 
5REFERÊNCIAS
.

Mais conteúdos dessa disciplina