Logo Passei Direto
Buscar
Material
páginas com resultados encontrados.
páginas com resultados encontrados.
left-side-bubbles-backgroundright-side-bubbles-background

Crie sua conta grátis para liberar esse material. 🤩

Já tem uma conta?

Ao continuar, você aceita os Termos de Uso e Política de Privacidade

left-side-bubbles-backgroundright-side-bubbles-background

Crie sua conta grátis para liberar esse material. 🤩

Já tem uma conta?

Ao continuar, você aceita os Termos de Uso e Política de Privacidade

Prévia do material em texto

Exercícios resolvidos de combinações simples
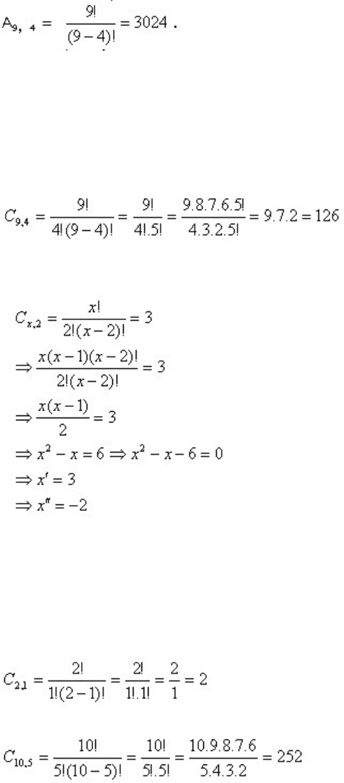
1 – Uma escola tem 9 professores de matemática. Quatro deles deverão representar a escola em um congresso. Quantos grupos de 4 são possíveis? Os agrupamentos são combinações simples, pois um deles se distingue do outro somente quando apresenta pelo menos uma pessoa diferente. Invertendo a ordem dos elementos, não alteramos o grupo.
Calculamos inicialmente os arranjos simples formados por 4 entre os 9 professores de matemática (mi): 
Mas aqui consideramos distintos os agrupamentos do tipo (m3,m7,m6,m9) e (m7,m3,m6,m9)
A quantidade de agrupamentos formados por esses professores, mudando-se apenas a ordem, é dada por P4 = 4!=24.
Logo, o número de combinações simples será o quociente 3024:24=126.
2. Ainda usando o exemplo anterior. Dos 9 professores de matemática dentre os quais 4 irão a um congresso, calcular quantos grupos serão possíveis.
3. Resolver a equação Cx, 2 = 3.
Logo V = {3}
4. Dos 12 jogadores levados para uma partida de vôlei, apenas 6 entrarão em quadra no início do jogo. Sabendo que 2 são levantadores e 10 são atacantes, como escolher 1 levantador e 5 atacantes?
Dos 2 levantadores escolheremos 1, e dos 10 atacantes apenas 5 serão escolhidos. Como a ordem não faz diferença, temos:
escolhas do levantador.
escolhas dos 5 atacantes.
Logo, teremos 2 · 252 = 504 formas de escolher o time.
5. Durante o jogo, 2 atacantes e o levantador foram substituídos. De quantas formas isso poderia ser feito?
Dos jogadores que não estavam na quadra, 1 era levantador e 5 eram atacantes. Assim, só há uma forma de substituir o levantador e C5, 2 formas de substituir os dois atacantes. Logo, as substituições poderiam ter sido feitas de:
 formas diferentes.
6. Com cinco alunos, quantas comissões de três alunos podem ser formadas?
comissões.
7. De quantos modos podemos escolher 2 objetos em um grupo de 6 objetos distintos?
 modos.
8. Quantas saladas de frutas diferentes podemos formar com 5 frutas, se possuo 8 frutas distintas?
  saladas
9. De quantas maneiras podemos escolher 2 estudantes numa classe com 30 alunos?
A questão é a mesma que perguntar quantos subconjuntos de dois elementos possui um conjunto com 30 elementos. A resposta é:
10. Num grupo de 9 pessoas há 2 garotas e 7 rapazes. De quantas maneiras podemos escolher
4 membros do grupo sendo que, no mínimo, há uma garota dentre os escolhidos?
Se dentre os 4 membros escolhidos há uma garota, essa escolha pode ser feita de C7, 2 .C2, 1 maneiras distintas. Se dentre os 4 membros escolhidos há duas garotas, essa escolha pode ser feita de C7, 2 . C2, 2 maneiras distintas. Portanto, o número pedido é
Ou seja. C7, 2 . C2, 1 + C7, 2 . C2, 2 = 91
11. De quantas maneiras podemos dividir 10 rapazes em dois grupos de cinco?
O primeiro grupo pode ser escolhido de C10, 5 modos. Escolhido o primeiro grupo, sobram 5 pessoas e só há uma maneira de formar o segundo grupo. A resposta parece ser C10, 5 . 1
Entretanto, contamos cada divisão duas vezes. Por exemplo, a divisão dos rapazes nos dois grupos {a, b, c, d, e} e {f, g, h, i, j} é idêntica a divisão nos grupos: {f, g, h, i, j} e {a, b, c,d, e}, e foi contada como se fossem distintas. Portanto, a resposta é:

Mais conteúdos dessa disciplina