Logo Passei Direto
Buscar

P1_2018 1_Integral

User badge image
Italo R Souza

em

Ferramentas de estudo

Questões resolvidas

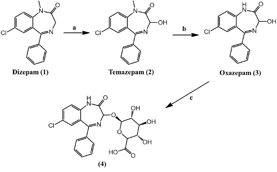
Têm-se os benzodiazepínicos abaixo. O diazepam é convertido pelo metabolismo hepático em temazepam, que por sua vez é metabolizado em oxazepam. O temazepam e o oxazepam são ativos e também estão presentes no mercado. Por fim, o oxazepam sofre mais uma metabolização e é eliminado.
Indique a reação de metabolização e a enzima envolvida em cada processo indicado (a, b e c).
a: Hidroxilação α a heteroátomo (reação de fase I microssomal); enzima da superfamília do citocromo P450 (CYP).
b: N-desalquilação (reação de fase I microssomal); CYP.
c: Glucuronidação (reação de fase II); UDP-glucuronosil transferase.

Uma razão é que o diazepam é mais hidrofóbico, portanto liga-se mais a proteínas plasmáticas e não pode ser facilmente eliminado na urina. Em contrapartida, o oxazepam é mais hidrofílico e assim pode ser melhor eliminado por via urinária. Além disso, os dois metabólitos consecutivos do diazepam — temazepam e oxazepam — são ativos, enquanto o único metabólito do oxazepam (conjugado com ácido glucurônico) é inativo. Outra razão muito importante é que o oxazepam possui um sítio disponível para glucuronidação (OH), ao passo que o diazepam não possui.
Explique por que o tempo de meia vida do diazepam (60 horas) é muito maior que o do oxazepam (8 horas).

Seria o oxazepam, visto que num paciente com comprometimento hepático o tempo de meia vida do diazepam seria muito aumentado, podendo levar a efeitos adversos. Já o oxazepam é eliminado mais rapidamente, tornando-se uma alternativa mais segura nessa situação.
Com base na farmacocinética do diazepam e do oxazepam, qual seria o fármaco de escolha num paciente com comprometimento hepático?

O pKa do fármaco é 9.
Em qual região destas porções do trato digestório você esperaria que houvesse maior taxa de absorção do pró-fármaco: estômago (pH 2–3), duodeno (pH 6,5) ou íleo (pH 7,5)?
Íleo. O valor de pH do íleo é o que está mais próximo do valor de pKa do grupo amina do fármaco, logo nessa porção do trato digestório haveria uma quantidade significativa do fármaco na forma não ionizada, que é capaz de se difundir através da membrana dos enterócitos.

Material
páginas com resultados encontrados.
páginas com resultados encontrados.
left-side-bubbles-backgroundright-side-bubbles-background

Crie sua conta grátis para liberar esse material. 🤩

Já tem uma conta?

Ao continuar, você aceita os Termos de Uso e Política de Privacidade

left-side-bubbles-backgroundright-side-bubbles-background

Crie sua conta grátis para liberar esse material. 🤩

Já tem uma conta?

Ao continuar, você aceita os Termos de Uso e Política de Privacidade

left-side-bubbles-backgroundright-side-bubbles-background

Crie sua conta grátis para liberar esse material. 🤩

Já tem uma conta?

Ao continuar, você aceita os Termos de Uso e Política de Privacidade

Questões resolvidas

Têm-se os benzodiazepínicos abaixo. O diazepam é convertido pelo metabolismo hepático em temazepam, que por sua vez é metabolizado em oxazepam. O temazepam e o oxazepam são ativos e também estão presentes no mercado. Por fim, o oxazepam sofre mais uma metabolização e é eliminado.
Indique a reação de metabolização e a enzima envolvida em cada processo indicado (a, b e c).
a: Hidroxilação α a heteroátomo (reação de fase I microssomal); enzima da superfamília do citocromo P450 (CYP).
b: N-desalquilação (reação de fase I microssomal); CYP.
c: Glucuronidação (reação de fase II); UDP-glucuronosil transferase.

Uma razão é que o diazepam é mais hidrofóbico, portanto liga-se mais a proteínas plasmáticas e não pode ser facilmente eliminado na urina. Em contrapartida, o oxazepam é mais hidrofílico e assim pode ser melhor eliminado por via urinária. Além disso, os dois metabólitos consecutivos do diazepam — temazepam e oxazepam — são ativos, enquanto o único metabólito do oxazepam (conjugado com ácido glucurônico) é inativo. Outra razão muito importante é que o oxazepam possui um sítio disponível para glucuronidação (OH), ao passo que o diazepam não possui.
Explique por que o tempo de meia vida do diazepam (60 horas) é muito maior que o do oxazepam (8 horas).

Seria o oxazepam, visto que num paciente com comprometimento hepático o tempo de meia vida do diazepam seria muito aumentado, podendo levar a efeitos adversos. Já o oxazepam é eliminado mais rapidamente, tornando-se uma alternativa mais segura nessa situação.
Com base na farmacocinética do diazepam e do oxazepam, qual seria o fármaco de escolha num paciente com comprometimento hepático?

O pKa do fármaco é 9.
Em qual região destas porções do trato digestório você esperaria que houvesse maior taxa de absorção do pró-fármaco: estômago (pH 2–3), duodeno (pH 6,5) ou íleo (pH 7,5)?
Íleo. O valor de pH do íleo é o que está mais próximo do valor de pKa do grupo amina do fármaco, logo nessa porção do trato digestório haveria uma quantidade significativa do fármaco na forma não ionizada, que é capaz de se difundir através da membrana dos enterócitos.

Prévia do material em texto

P1 – 2018.1 – Integral 
 
Q1) Têm-se os benzodiazepínicos abaixo. O diazepam é convertido pelo metabolismo hepático em 
temazepam, que por sua vez é metabolizado em oxazepam. O temazepam e o oxazepam são ativos e 
também estão presentes no mercado. Por fim, o oxazepam sofre mais uma metabolização e é 
eliminado. 
 
 
 
a) Indique a reação de metabolização e a enzima envolvida em cada processo indicado (a, b e c). 
a: Hidroxilação α a heteroátomo (reação de fase I microssomal); enzima da superfamília do 
citocromo P450 (CYP). 
b: N-desalquilação (reação de fase I microssomal); CYP. 
c: Glucuronidação (reação de fase II); UDP-glucuronosil transferase. 
 
b) Explique por que o tempo de meia vida do diazepam (60 horas) é muito maior que o do 
oxazepam (8 horas). 
Uma razão é que o diazepam é mais hidrofóbico, portanto liga-se mais a proteínas plasmáticas e não 
pode ser facilmente eliminado na urina. Em contrapartida, o oxazepam é mais hidrofílico e assim 
pode ser melhor eliminado por via urinária. Além disso, os dois metabólitos consecutivos do 
diazepam — temazepam e oxazepam — são ativos, enquanto o único metabólito do oxazepam 
(conjugado com ácido glucurônico) é inativo. Outra razão muito importante é que o oxazepam 
possui um sítio disponível para glucuronidação (OH), ao passo que o diazepam não possui. 
 
c) Com base na farmacocinética do diazepam e do oxazepam, qual seria o fármaco de escolha num 
paciente com comprometimento hepático? 
Seria o oxazepam, visto que num paciente com comprometimento hepático o tempo de meia vida do 
diazepam seria muito aumentado, podendo levar a efeitos adversos. Já o oxazepam é eliminado 
mais rapidamente, tornando-se uma alternativa mais segura nessa situação. 
 
Q2) Questão de V ou F sobre enzimas, canais iônicos, transportadores e receptores e os respectivos 
fármacos. 
 
Q3) Tem-se o fármaco abaixo 
 
 
 
a) Ele é administrado da forma de um sal com o ácido acético (CH3COOH). Desenhe a estrutura do 
sal e indique a vantagem do sal para a administração por via oral. 
 
A formação do sal aumenta a solubilidade aquosa do fármaco e facilita sua dissolução no fluido 
gastrointestinal, representando uma melhora na fase farmacêutica. Como consequência, sua 
absorção intestinal acontece de forma mais rápida e eficiente, resultando no aumento de 
biodisponibilidade por essa via de administração. 
 
b) O pKa do fámaco é 9. Em qual região destas porções do trato digestório você esperaria que 
houvesse maior taxa de absorção do pró-fármaco: estômago (pH 2–3), duodeno (pH 6,5) ou íleo 
(pH 7,5)? 
Íleo. O valor de pH do íleo é o que está mais próximo do valor de pKa do grupo amina do fármaco, 
logo nessa porção do trato digestório haveria uma quantidade significativa do fármaco na forma não 
ionizada, que é capaz de se difundir através da membrana dos enterócitos. 
 
c) Diga uma interação que cada uma das porções destacadas pode realizar e um resíduo de 
aminoácido para cada.

Mais conteúdos dessa disciplina