Logo Passei Direto
Buscar
Material
páginas com resultados encontrados.
páginas com resultados encontrados.
details

Libere esse material sem enrolação!

Craque NetoCraque Neto

Ao continuar, você aceita os Termos de Uso e Política de Privacidade

details

Libere esse material sem enrolação!

Craque NetoCraque Neto

Ao continuar, você aceita os Termos de Uso e Política de Privacidade

Prévia do material em texto

QUESTIONÁRIO II – PROBABILIDADE
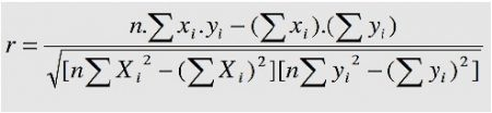
· A fórmula:
Corresponde à qual coeficiente? Assinale a alternativa correta:
Resposta Marcada :
Coeficiente de correlação de Pearson
PONTUAÇÃO TOTAL: 2PONTUAÇÃO OBTIDA  2
· As relações do tipo perímetro e lado são chamadas:
Resposta Marcada :
Funcionais
PONTUAÇÃO TOTAL: 2PONTUAÇÃO OBTIDA  2
· Um aluno prestou vestibular em apenas duas Universidades. Suponha que, em uma delas, a probabilidade de que ele seja aprovado é de 30%, enquanto na outra, pelo fato de a prova ter sido mais fácil, a probabilidade de sua aprovação sobe para 40%. Nessas condições, a probabilidade de que esse aluno seja aprovado em pelo menos uma dessas Universidades é de:
Resposta Marcada :
58%
PONTUAÇÃO TOTAL: 2PONTUAÇÃO OBTIDA  2
· Considere uma prova de Matemática constituída de quatro questões de múltipla escolha, com quatro alternativas cada uma, das quais apenas uma é correta. Um candidato decide fazer essa prova escolhendo, aleatoriamente, uma alternativa em cada questão. Então, é CORRETO afirmar que a probabilidade de esse candidato acertar, nessa prova, exatamente uma questão é:
Resposta Marcada :
27/64
PONTUAÇÃO TOTAL: 2PONTUAÇÃO OBTIDA  2
· As relações do tipo peso e altura são chamadas:
Resposta Marcada :
Estatísticas.
PONTUAÇÃO TOTAL: 2PONTUAÇÃO OBTIDA  2
· A probabilidade de um casal com quatro filhos ter dois do sexo masculino e dois do sexo feminino é:
Resposta Marcada :
37,5%
PONTUAÇÃO TOTAL: 2PONTUAÇÃO OBTIDA  2
· Com o conceito de probabilidade condicionada, é possível apresentar uma maneira de se calcular a probabilidade da interseção de dois eventos A e B em função destes eventos. Esta expressão é denominada de:
Resposta Marcada :
Teorema da multiplicação
PONTUAÇÃO TOTAL: 2PONTUAÇÃO OBTIDA  2
· Existem três maneiras de representar a função de probabilidade de uma VAD X. Entre elas temos:
Resposta Marcada :
Todas as alternativas estão corretas.
PONTUAÇÃO TOTAL: 2PONTUAÇÃO OBTIDA  2
· Numa prova de vestibular com 50 questões objetivas de 5 alternativas cada, qual a probabilidade de que um candidato, que responde ao acaso (chuta) todas as questões, acerte mais do que 15 questões?
Resposta Marcada :
2,62%
PONTUAÇÃO TOTAL: 2PONTUAÇÃO OBTIDA  2
· Uma caixa contém 12 lâmpadas das quais 5 estão queimadas. São escolhidas 6 lâmpadas ao acaso. Qual a probabilidade de que exatamente duas estejam queimadas?
Resposta Marcada :
37,88%
PONTUAÇÃO TOTAL: 2PONTUAÇÃO OBTIDA  2
Total20 / 20