Logo Passei Direto
Buscar
Material
páginas com resultados encontrados.
páginas com resultados encontrados.
left-side-bubbles-backgroundright-side-bubbles-background

Experimente o Premium!star struck emoji

Acesse conteúdos dessa e de diversas outras disciplinas.

Libere conteúdos
sem pagar

Ajude estudantes e ganhe conteúdos liberados!

left-side-bubbles-backgroundright-side-bubbles-background

Experimente o Premium!star struck emoji

Acesse conteúdos dessa e de diversas outras disciplinas.

Libere conteúdos
sem pagar

Ajude estudantes e ganhe conteúdos liberados!

Prévia do material em texto

1) Em três poços de petróleo, situados em regiões distintas, 
o material coletado tem diferentes concentrações de 
duas substâncias 𝐴 e 𝐵. 
Uma central recebe o petróleo dos três poços, mas antes 
do refino precisa obter uma mistura com uma 
concentração escolhida das substâncias 𝐴 e 𝐵. A 
pergunta é: em cada litro de petróleo que será gerado 
para o refino, quanto petróleo de cada poço se deve 
colocar? 
Equacionamos o problema chamando de e 𝑐1𝐴 a 
concentração de 𝐴 no petróleo do Poço 1, 𝑐1𝐵 a 
concentração de 𝐵 no petróleo do Poço 1, e assim por 
diante. Essas informações são conhecidas previamente. 
As concentrações que queremos obter são chamadas de 
𝑐𝐴 e 𝑐𝐵. 
As incógnitas são as quantidades relativas de petróleo 
de cada poço que colocaremos na mistura final, que 
chamaremos de 𝑞1, 𝑞2 e 𝑞3. Elas são medidas em litros, 
e devem ser tais que 
𝑞1 + 𝑞2 + 𝑞3 = 1. 
Além disso, a concentração do material 𝐴, após a 
mistura dos três será dada por 
𝑐1𝐴𝑞1 + 𝑐2𝐴𝑞2 + 𝑐3𝐴𝑞3. 
Pensando o mesmo sobre o material 𝐵, ficamos com três 
equações lineares e três incógnitas: 
𝑐1𝐴𝑞1 + 𝑐2𝐴𝑞2 + 𝑐3𝐴𝑞3 = 𝑐𝐴
𝑐1𝐵𝑞1 + 𝑐2𝐵𝑞2 + 𝑐3𝐵𝑞3 = 𝑐𝐵
𝑞1 + 𝑞2 + 𝑞3 = 1
 
Aqui é importante salientar que o problema não teria 
uma solução satisfatória para qualquer escolha de 𝑐𝐴 e 
𝑐𝐵. Por exemplo, se a concentração 𝑐𝐴 desejada na 
mistura for superior às concentrações de 𝐴 em cada um 
dos poços, não há como obter a mistura 
satisfatoriamente. Mesmo assim poderia haver soluções 
matemáticas para a equação, na qual provavelmente 
uma das incógnitas 𝑞1, 𝑞2 ou 𝑞3 teria que ser negativa! 
O conjunto de valores de 𝑐𝐴 e 𝑐𝐵 para os quais haveria 
uma solução para esse problema pode ser representado 
da seguinte forma: queremos um par de concentrações 
(𝑐𝐴, 𝑐𝐵) tal que existam 𝑞1 , 𝑞2 e 𝑞3 satisfazendo o 
sistema de equações já exposto. Esse conjunto de 
possibilidades está representado no plano cartesiano na 
figura abaixo, e é denominado envoltória convexa dos 
pontos (𝑐1𝐴, 𝑐1𝐵), (𝑐2𝐴, 𝑐2𝐵) e (𝑐3𝐴, 𝑐3𝐵). Ele é o menor 
conjunto convexo que contém os pontos citados. 
 
a) Monte um sistema de equações fisicamente 
coerente, definindo valores para 𝑐1𝐴, 𝑐2𝐴, 𝑐3𝐴, 𝑐1𝐵, 
𝑐2𝐵, 𝑐3𝐵, 𝑐𝐴 e 𝑐𝐵. 
b) Determine os valores correspondentes de 𝑞1, 𝑞2 e 
𝑞3. Estes valores fazem sentido? Por quê? 
 
2) Com relação às transformações lineares, vimos que elas 
podem ser dadas em forma de matrizes. 
a) Defina uma matriz de transformação linear que 
leve um conjunto de vetores de um espaço vetorial 
em outro. 
b) Qual o núcleo desta transformação. 
c) Qual a imagem desta transformação. 
d) Quais são os autovetores desta transformação? 
e) Existe transformação inversa desta transformação. 
Explique. 
 
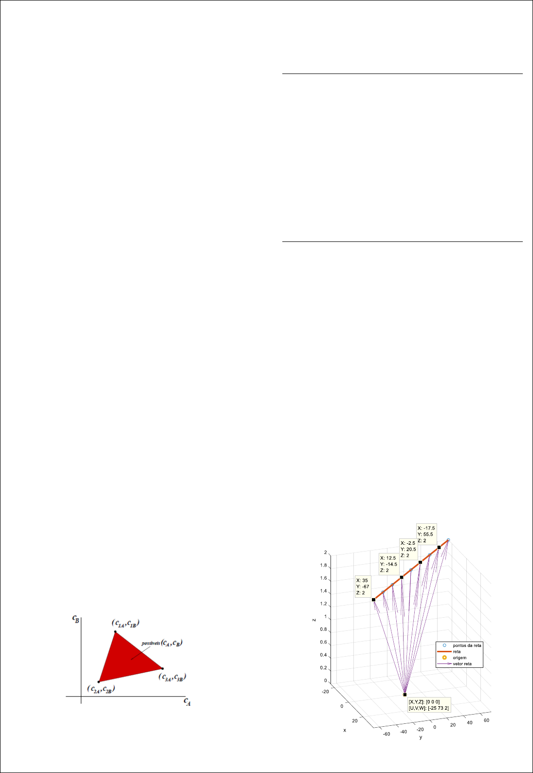
3) Muitas vezes durante a aula utilizamos recursos de 
computação para compreender grandezas vetoriais. 
Uma reta pode ser escrita na forma vetorial como 
�⃗� (𝑡) = �⃗� 0 + 𝑡�⃗⃗� 
e um plano como 
�⃗⃗� (𝑡1, 𝑡2) = �⃗� 0 + 𝑡1�⃗⃗� 1 + 𝑡2�⃗⃗� 2 
sendo 𝑡1 e 𝑡2 parâmetros de livre variação. 
Na equação da reta,�⃗� 0 é o vetor que inicia na origem e 
termina em um ponto qualquer da reta. Já o vetor �⃗⃗� é 
qualquer vetor com a mesma inclinação da reta. 
Na equação do plano, �⃗� 0 é o vetor que inicia na origem 
e vai até qualquer ponto do plano. Já �⃗⃗� 1 e �⃗⃗� 2 são vetores 
pertencentes ao plano não colineares entre si. 
Em sala criamos programas que geravam a equação 
vetorial da reta e do plano. Com base no texto desta 
questão, responda: 
a) Para a reta apresentada no gráfico, pede-se um 
valor possível para �⃗� 0, e para �⃗⃗� . Além disso 
represente a equação paramétrica da reta �⃗� (𝑡). 
 
b) Para o plano apresentado no gráfico, pede-se um 
valor possível para �⃗� 0, e para �⃗⃗� 1 e �⃗⃗� 2. Além disso 
represente a equação paramétrica do plano �⃗⃗� (𝑡). 
 
 
4) Para um sistema massa-mola-amortecedor horizontal 
são dados: 𝑚 = 10 [kg], 𝑏 = 50 [N s], 𝑘 =
número da chamada [N/m], 𝑥(0) = 2 [m] e 𝑣(0) =
0 [
m
s
]. 
0x =
M
 
 
 
a) Modele o sistema de EDOs na base canônica. 
Lembre-se que força resultante sobre uma massa é 
𝐹𝑅 = 𝑚𝑎, força feita por uma mola é 𝐹𝑘 = −𝑘𝑥 
(quando 𝑥 = 0 na posição de equilíbrio, que é o 
caso) e que força do amortecedor é dada por 𝐹𝑏 =
−𝑏𝑣. 
b) Modele o sistema na base dos autovetores. 
Lembre-se da dedução 
( )
( )( )
( ) ( )
( ) ( )
1
1
1 1
1 1
, assumindo 
-
-
¢
- -
¢
- -
¢=
¢=
¢=
=
=
¢= =X P Y
X T X
X PDP X
X PD P X
P X D P X
P X D P X
Y D Y
 
Onde 𝐘 são as soluções na base dos autovetores e 
𝐃 é a matriz diagonal dos autovalores. 
 
k Nome
1 Andressa Nieckarz 
2 Arthur Donaduzzi dos Santos 
3 Beatriz Cesconetto 
4 Carlos Levy Mariano Pedrosa 
5 Dhiego Pessoa Pereira 
6 Eduarda Cordeiro 
7 Emerson Gustavo Diatczuk Chanivski 
8 Gabriel da Costa Riccioppo 
9 Giovanna Samagaia Rebouças 
10 Guilherme Almeida Ferreira 
11 Guilherme Willemann Alberton 
12 Gustavo Henrique Miziara e Silva 
13 Haislan Prestes Recalcatti 
14 Helena Masur Longo 
15 Henrique dos Santos Marinho 
16 Ian Victor Samuelsson 
17 Igor Prestes de Amorim 
18 João Victor dos Reis Bertol 
19 Kamila Horst 
20 Kauê Cunha Coimbra 
21 Ketlin Pereira 
22 Kimberly Lorrana Braga 
23 Letícia Cristine Machado 
24 Lucca Arthur Delsantos 
25 Luiza Ferreira Bastos 
26 Marcella Pereira Stadler 
27 Maria Laura Gualberto de Andrade Silva 
28 Matheus Norberto Menegazzo 
29 Nahana Rafael Martins 
30 Nícolas Cansian Lazzarotti 
31 Ronald Naves Bonfim 
32 Sávio de Sousa Rocha 
33 Stefane Ghisi de Souza 
34 Thauanne Bagattoli Fantoni 
35 Tiffany Cristine Franzoi 
36 WILLIAN PEREIRA TEIXEIRA 
37 Yasmin Sol Vieira Silverio 
k Nome
1 Andressa Nieckarz 
2 Arthur Donaduzzi dos Santos 
3 Beatriz Cesconetto 
4 Carlos Levy Mariano Pedrosa 
5 Dhiego Pessoa Pereira 
6 Eduarda Cordeiro 
7 Emerson Gustavo Diatczuk Chanivski 
8 Gabriel da Costa Riccioppo 
9 Giovanna Samagaia Rebouças 
10 Guilherme Almeida Ferreira 
11 Guilherme Willemann Alberton 
12 Gustavo Henrique Miziara e Silva 
13 Haislan Prestes Recalcatti 
14 Helena Masur Longo 
15 Henrique dos Santos Marinho 
16 Ian Victor Samuelsson 
17 Igor Prestes de Amorim 
18 João Victor dos Reis Bertol 
19 Kamila Horst 
20 Kauê Cunha Coimbra 
21 Ketlin Pereira 
22 Kimberly Lorrana Braga 
23 Letícia Cristine Machado 
24 Lucca Arthur Delsantos 
25 Luiza Ferreira Bastos 
26 Marcella Pereira Stadler 
27 Maria Laura Gualberto de Andrade Silva 
28 Matheus Norberto Menegazzo 
29 Nahana Rafael Martins 
30 Nícolas Cansian Lazzarotti 
31 Ronald Naves Bonfim 
32 Sávio de Sousa Rocha 
33 Stefane Ghisi de Souza 
34 Thauanne Bagattoli Fantoni 
35 Tiffany Cristine Franzoi 
36 WILLIAN PEREIRA TEIXEIRA 
37 Yasmin Sol Vieira Silverio

Mais conteúdos dessa disciplina