Logo Passei Direto
Buscar
Material
páginas com resultados encontrados.
páginas com resultados encontrados.
left-side-bubbles-backgroundright-side-bubbles-background

Crie sua conta grátis para liberar esse material. 🤩

Já tem uma conta?

Ao continuar, você aceita os Termos de Uso e Política de Privacidade

left-side-bubbles-backgroundright-side-bubbles-background

Crie sua conta grátis para liberar esse material. 🤩

Já tem uma conta?

Ao continuar, você aceita os Termos de Uso e Política de Privacidade

left-side-bubbles-backgroundright-side-bubbles-background

Crie sua conta grátis para liberar esse material. 🤩

Já tem uma conta?

Ao continuar, você aceita os Termos de Uso e Política de Privacidade

Prévia do material em texto

Aluno:Kleison W. R. Viana
Curso: Engenharia de Produção
Polo: Anhembi Morumbi Piracicaba
Atividade 1 - CÁLCULO NUMÉRICO COMPUTACIONAL
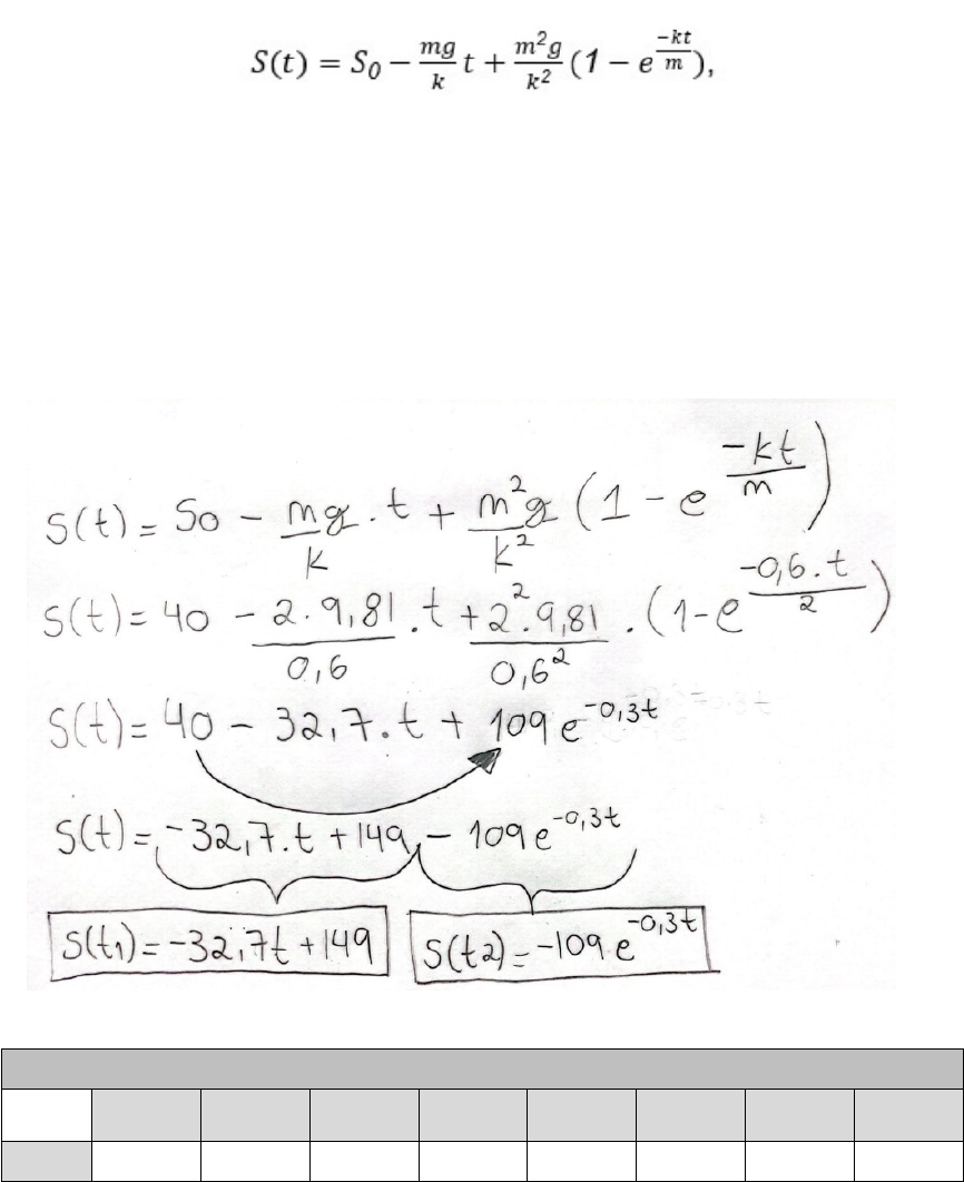
Um objeto de massa m é abandonado de um altura S0 em relação ao solo. 
Após t segundos a sua altura S(t) pode ser calculada pela expressão a seguir:
em que k é o coeficiente da resistência do ar e G é a aceleração da gravidade.
Fazendo m = 2 kg, S0 = 40m, k = 0,6 kg/s e g= 9,81m/s² use o método gráfico para isolar a raiz e, posteriormente, calcule o tempo que o objeto leva para atingir o solo utilizando o método da bisseção, com a tolerância e ≤ 0,001.
Respostas
1º Separar função S em 2 funções ST1 e ST2
R: 
	Tempo
	t
	0 seg
	1 seg
	2 seg
	3 seg
	4 seg
	5 seg
	6 seg
	7 seg
	S(t1)
	149
	117
	85
	53
	21
	-11
	-43
	-75
	S(t2)
	109
	81
	60
	44
	33
	24
	18
	13
2º Gráfico:
R: 
3º Cálculo de interação e Cálculo da raiz de tolerância:
R: 
4º Método da bisseção, com a tolerância e ≤ 0,001.
R: O tempo para o objeto atingir o solo é de 3,4795 segundos
	n
	a
	b
	X
	F(x)
	En
	0
	3
	4
	3,5
	-11.432
	 
	1
	3,5
	3
	3,25
	3,8869
	0,25
	2
	3,5
	3,25
	3,375
	1,3993
	0,125
	3
	3.5
	3,375
	3,4375
	0,13499
	0,0625
	4
	3,5
	3,4375*
	3,4688
	-0,5025
	0,0313
	5
	3,4688
	3,5
	3,4844g
	-0,8224
	0,0156
	6
	3,4844
	3,4688
	3,4766a
	-0,6624g
	0,0078
	7
	34.766
	3,4844
	3.4805g
	-0,7424
	0,0039
	8
	3,4805
	3,4766
	3,4785
	-0,7024
	0,002
	9
	3,4785
	3,4805
	3,4795g
	-0,7224
	0,001
Gráfico Analítico dos eixos t
t	
Tempo	0	1	2	3	4	5	6	7	S(t1)	
Tempo	149	117	85	53	21	-11	-43	-75	S(t2)	
Tempo	109	81	60	44	33	24	18	13

Mais conteúdos dessa disciplina