Logo Passei Direto
Buscar
Material
páginas com resultados encontrados.
páginas com resultados encontrados.
left-side-bubbles-backgroundright-side-bubbles-background

Crie sua conta grátis para liberar esse material. 🤩

Já tem uma conta?

Ao continuar, você aceita os Termos de Uso e Política de Privacidade

left-side-bubbles-backgroundright-side-bubbles-background

Crie sua conta grátis para liberar esse material. 🤩

Já tem uma conta?

Ao continuar, você aceita os Termos de Uso e Política de Privacidade

Prévia do material em texto

2ª Lista de exercícios de Orgânica 
16/05/2024
Prof. Neucirio R. Azevedo
Aluno(a):							Matrícula:		Curso:
Questões 
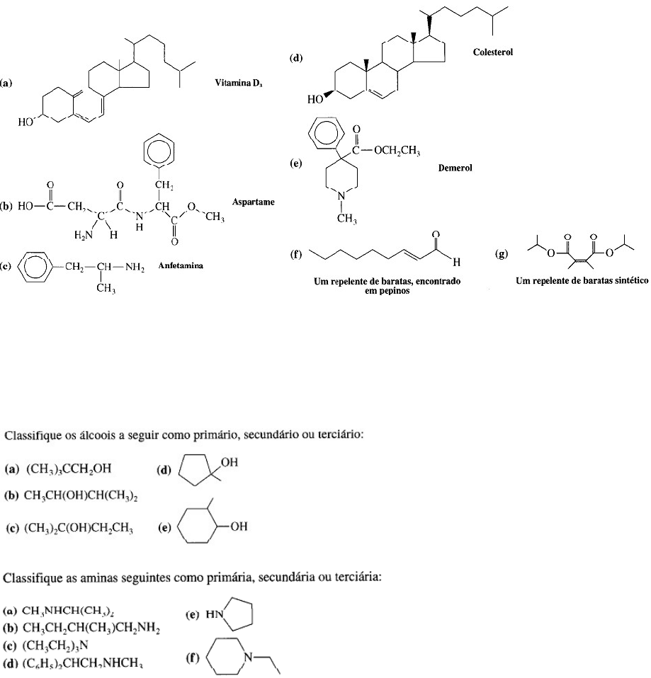
1- Identifique todos os grupos funcionais em cada composto a seguir:
 
2- Existem quatro brometos de alquila com a fórmula C4H9Br. Escreva suas respectivas fórmulas estruturais e classifique cada um como brometo de alquila primário, secundário ou terciário.
3- 
4- 
5- 
image1.png
image2.png
image3.png
image4.png
image5.png

Mais conteúdos dessa disciplina