Logo Passei Direto
Buscar
Material
páginas com resultados encontrados.
páginas com resultados encontrados.

Prévia do material em texto

• q(0) = 13 => p(0) = (0 - 2) ■ l^*1) + 26 =» p(0) = -2 6 + 26 => p(0) = 0i!Em (11), co m o p(0) = ('). escrevem os: 0 = (U + (.) - 1) • li(<_)) 4 8 ■ 0 - 3 => h(0) = - 3 in• <|( 1) — 26 =» p( 1) = ( I - 2 ) • q( 1) + 26 p( 1 ) = ( .- 1) • 26 + 26 => p( 1) = ()Em ( I I ). co m o p( 1) = 0, escrevem os: () = ( 1 - + 1 - 1) - !i( I ) + 8 ■ 1 - 5 =• l i ( l ) = - 3 .• Em (1). p(2) = 26 (teorem a d o resto), c então, em (II). temos;26 = (2J + 2 - I ) ■ h(2.l + 8 ■ 2 - 3 => 5h(2) = 15 => h(2) = 3R eunindo as inform ações obtidas, tem os que b 6 um polin ô m io de grau 2 q u e satisfaz: h(0) = - 5 , h ( l ) = - 3 e h(2) = 3
Escrevendo lií.x) = a x 2 + bx + c. segu e o sistema la +- b + c = - 3| -ui + 2b + c = 3
a = 2
b = 0Logo, li(x) = 2x: - 5; ii(2) - 3: h(3) = 2 • 3- - 5 = 13: a som a é 3 + 13 = 16.Resposta: a.
Desafios r
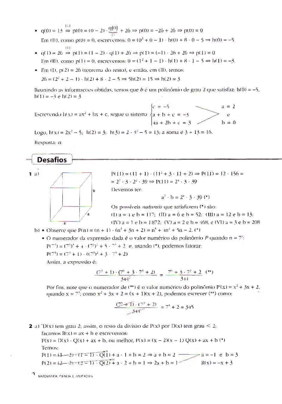
P< 11) = (11 + 1) • (1 l J + 3 ■ 11 + 2) => P ( l l ) = 12 ■ 156 == 2; • 3 • 2- • 39 => P U 1) = 2‘ • 3 • 39 b I levem os ter: a2 ■ b = 2" ■ 3 ■ 39 (*.)O s possíveis n a tu ra is q u e satisfazem O ) são:(I > a = -Í e b = 117; (TT) a = 6 e h = 52; (111) a = 12 e b = 13:(IV) a = 1 e b = 1 872; (V) a = 2 e h = 368: e (VI) a = 3 e b = 208b) • O b serve q u e P(n> = (n + l) ■ (n : 4 3n 4 2) = n ’ 4 m 2 + 5n - 2. (*)■ O num erador da expressão dada é o valor num érico d o polinôm io P q u an d o n = 7':[’<7') = (~ V + 4 - ( " ) 2 4 5 • v + 2 e . usando (*). p o d em o s fatorar:P(7') = (7-! + 1) ■ K7-b- + 3 ■ + 2)Assim , a expressão é: (7‘ + 1) • (7" + 3 ■ 7 ’ + 2) _ 7" + 3 • 7- + 2 (**)343: 3 1 iPor fim. note q u e o num erador de (**) é o valor num érico do polin ô m io P'(x) = x 2 4 3x + 2. q u an d o x = 7-*; co m o x J + 3x 4 2 = (x 4 l)(x 4- 2). pod em os escrever (**) com o:( ji - r f) ■ 4- 2)344'' = 7 ' 4- 2 = 345
2 a) D (x) tem grau 2; assim , o rcsio da divisão d e P(x> por D (x) tem grau < 2; laçam os R(x) = ax 4- b e escrevem os:P(x) = EKx) • Q (x ) 4 ax + b . ou m elhor, l’(x) = (x — 2>(x — 1) Q (x> 4- ax 4 b C*>Tem< is;P( 1) = U — 2 r - r r - ' T T ' Q ( Í ) 4 a • I 4 b = 2 => a 4 b = 2 --------- a = - I e b = 3P(2) = t í — -2 4 = 1 2 ^ 7 7 ' Q (2) 4 a ■ 2 4 b = 1 => 2a 4 b = 1 ' R(x) = - x 4 3
MATEM AT prA. PH-MTIA L AflirAÇilh-»
b> Escrevemos Ptx) = + a„_ , x "' 1 + ... + a,x + S; então PtO) = 8. Em (*). lemosl'(0) = (0 - 2) ■ (0 - D ■ Q(0) + [(-1) • 0 + 31 => 8 = 2Q(U> + 3 =» QÍO) = —O grau de Q(x)é duas unidades inferior ao grau P(x). Escrevendo Q(x) = li„__.x"~‘ + b„ ,x:l ’ + ... + b,x + I),,. segue que 
Q<0) = b„ = y Í ' ü termo independente de Q(x).
3 De p(x) - q(x) + — — verta — + x =q( xH— —— =»u(x} = - —̂ =»x - 1 x- - 1 ' x- - 1 1 xJ - 1=» q(x) ■ (X ' — 1) = x' + x’ + ( l — A); essa última igualdade nos mostra que q deve ser um polinõmio de grau 2. l açamos: q(x) = tnx: + nx + p. Então:(mx: + nx + p)(xJ - J ) = x + xJ + 11 - A)inx'1 + nx' + (p - m)xJ - nx - p = x' + x- + (1 - A), donde:m = 1 n = 0 p - m = 1 -n = 0 -p = 1 - A
m = 1. n = 0. p = 2 e A = 3: q(x) - x- + 2
De A
X " - 1A
B C
1
x - 1 x + 1B< x -t- 1) -f- C( x - 1) (x - 1K x + 1) A = (B + O x + (R - O ■' ' [ R + C = 0 3 | b - C = 3
Assim. B = ̂ e C =? >
EQUAÇÕES PQLINQMIAIS ÜU 
ALGÉBRICAS
—{ Exercícios U ---- — ---------------------- -— -—■— ---------
9 Note que o polinõmio dado é divisível por (x — i) • (x + i) = x-' + 1 11 Eatoremos o polinõmio dado:p(x) = x -1 + 3xj —x ~ - sx = x \ x + 5) - x(x + 5) = f x 1 — x i( x + 3) = x (x ' - 1 )<x + 5)Fazendo p(x) - 0, obtemos, como raízes, x = U. ou x = ± 1. ou x = - 3.12a) xJ • (x — I) + 1 • (x - I ) = 0 => tx' + 1) ■ < x — 1 > = 0 =» x = ± i ou x = I b) Faça x2= y.
M AW AL 1111 p s n f t s s i lk
13 x' + ax’ - 2x - 2a = 0 => x:(x + a) - 2(x + a) = 0 =» <x" - 2) ■ (x + a> = 0=>x = ±\:2 ou x = — a (que é racional, por hipótese). Logo b = - \2 => l>’ = (-V2 ) =(-!)* • 4 = i.15 a.) As raízes de/são obtidas fazendo f(y) = 0 => yJ + ly - 1 lO = 0 => y = 10. ou y = -11. Logo, pelo teorema da decomposição, f(y) = (v - 10)(v + 14). b) De acordo mm o ilem a, <|(xl pode ser escrito como: q(x) — [p(x) — lOHp(.x) + 1 í]: mas p(x) = x ’ - 6x - 6 e. então, temos q(x) = (xJ - 6x - l6)(x' - 6x + 8).Fazendo q(x) = 0. temos: • ,v - 6x - 16 = 0 => x = -2. ou x = 8ou• x' - 6x + 8 = 0 => x = i . ou x = 2
2 5 , , . , „ „ ______ x* = 0 — x = 0 (raiz de m ultiplicidade 8)x-- ■ (x-- Sx + 6) = 0-=^_ . . . , , . . , .x" - 7X + 6 = 0 —* x = 2 ou x = 3 (raizes simples)
2 7 a) ( - 1 )‘ - ( - 1 ) ' - 9< —1 )- + m ( -l) - 1 = 0 => m = -1 1-1 1 -1 -9 - i i -4-1 1 - 2 -7 - i o-1 1 -3 - 4 01 - t | ( )
q(x) é o quociente da divisão do polinôm io dad o por (x + 1 >\ Fazendo q(x) = 0, obtem os a outra raiz: x - i = 0 => x = 4
2 9 A p lica n d o o teorem a da d ecom p o sição , vem ; (as raízes são tn. m e -2 m ) x ' — 78x + 250 = 1 ■ (x — m) • (x — m) • (x + 2m) = (x — rn)_ (x + 2m), isto é , x ' - 75x + 250 = x ' — 3 n rx + 2m 1 e . com p arand o seus coeficien tes, temos:—75 = -3 m J =» m = +5 xe > m = 3; um a raiz (dup la) é 5 e a outra raiz é -1 0 .250 = 2mJ m o
3 0 O polin ô m io p(x) é divisível por (x — 0)‘ — x" Façam os essa divisão:X"x ’ + (p - 3)x + pq (x)
K x ): resto —> q x + rD evem o s ter K x) = 0, isto é , qx + r = 0 => C| = 0 e r = 0.O ra , as dem ais raízes de p(x) segu em q u e q(x) = 0 <=> X" + (p - 3>x + p = 0. Fssa equação de 2V grau não adm ite raízes se A < 0, isto é: (p - 3)" - h • 1 • p < 0 => p- - lOp + 9 < 0 => 1 < p < 9 .
3 1 a ) p(l.) = 0 => 1' + 1 ■ + m • 1 + n = 0 =» 2 + m + n = 0 => n = - m - 2b) p(x) é divisível por x - 1, fazen d o a divisão, encontram os o quociente q(.x), q u e é de 2(' grau. Esse p olin ôm io deve ter uma raiz dupla (diferente de 1):1 1 1 m -m - 21 2 m + 2 0
qtx>
q(x) = x J + 2.x + (m + 2) tem raiz dupla se A = 0, isto é. 4 - 4 ■ K m + 2) = 0 => m = — 1.N ote. por fim , q u e se m = - 1 , q(x) = x* + 2x + 1 e a raiz. dupla é - 1 . satisfazendo a cond ição dad a.
M ATEM AriCA : CIÊNCIA E API.irAÇtlEC

Mais conteúdos dessa disciplina