Logo Passei Direto
Buscar
Material
páginas com resultados encontrados.
páginas com resultados encontrados.

Prévia do material em texto

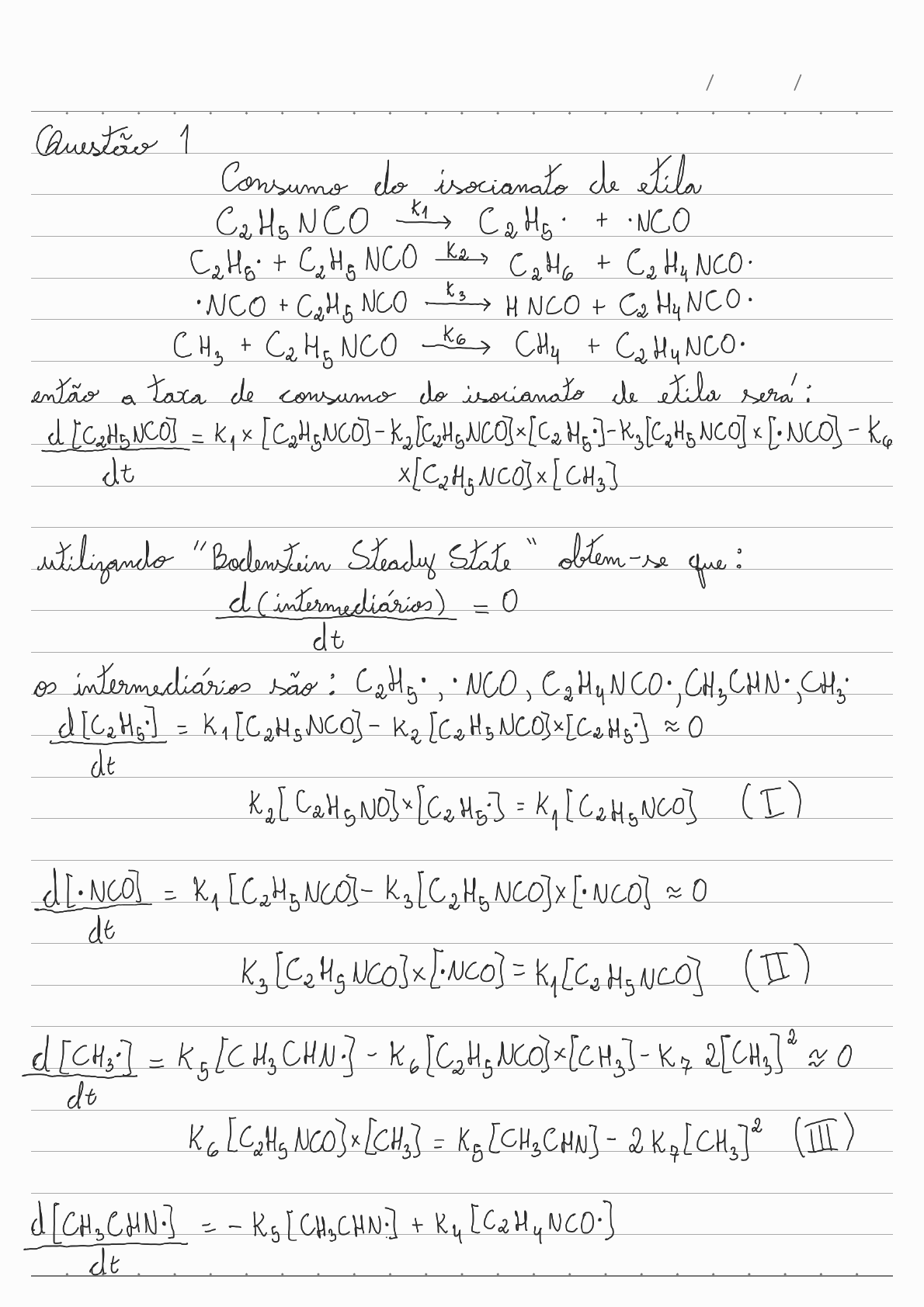
<p>/ / 1 Consumo do isocianato de C2H5NCO K1 C2H5. + NCO + C2H5 NCO C2H6 + C2H4NCO. NCO + C2H5 NCO HNCO + CH3 + C2H5NCO K6 + a taxa de consumo do etila = K1 dt utilizando "Bodenstein Steady que: = 0 dt os intermediaries NCO, C2H4 = K2[C2H5 dt = [C2H5NCO] (I) = K1 [C2H5 NCO]- 0 dt (II) = - dt = - (III) = - + Ky dt</p><p>= (IV) / = K2 [C2H5 NCO] + K3 K4 dt K6 20 = NCO]+ + (V) Substituindo a partir de (I), (II) (III) = K1[C2 H5 [C2H5 + K6 [C2H5NCO] x[CH3] (VI) Substituindo (VI), em (III) = 2K1 NO] + = = (VII) Kg Com essa equasao I a taxa de consumo do de etila ) para eliminar as Substituindo a partir de (I) (II) l [C2H5 - dt X Desprezando a das de em ao Total chain") sera Entoro K1 sera muito menor do que K6,0 termo pelo qual mesmo esta sendo multiplicado - [C2H5 dt NCO] = - 3K1</p><p>1/2 1/2 = / / dt = K6 3/2 dt K7 for de ordem 1,5 sendo inconsistente com a ordem experimental 25. Porem - chain" for Teremos que K1 now muito menor K6 1/2 - dt = - 3/2 X a ordem seria 1+3/2 = 2,5 comforme resultado experimentalmente. 3 a) Para a deste utilizados los apresentados anterior um modelo para ordem 1/2 pelo - = dt Fazendo a Ci dCi = 0 : 1/2 - Kt no final, tem -se a 1/2 [Ci] = - 1 kt 2</p>

Mais conteúdos dessa disciplina