Logo Passei Direto
Buscar
Material
páginas com resultados encontrados.
páginas com resultados encontrados.
left-side-bubbles-backgroundright-side-bubbles-background

Experimente o Premium!star struck emoji

Acesse conteúdos dessa e de diversas outras disciplinas.

Libere conteúdos
sem pagar

Ajude estudantes e ganhe conteúdos liberados!

Prévia do material em texto

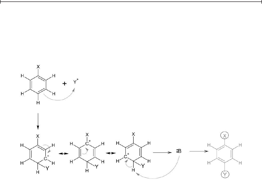
<p>FCMMG - VESTIBULAR/2024 - 2º SEMESTRE - PROVA DE MEDICINA 42</p><p>47. As reações de substituição eletrofílica aromática (SEA) formam uma classe que está entre as</p><p>mais amplamente estudadas em toda a química devido a sua grande aplicabilidade. De forma</p><p>resumida, essas reações são identificadas pela adição de um eletrófilo ao anel aromático, com</p><p>posterior eliminação de um próton, formando o produto substituído, conforme figura representada</p><p>abaixo.</p><p>SILVA, Milian PS et al. Software SAE: um recurso multimídia alternativo para o ensino de substituições aromáticas eletrofílicas.</p><p>Quím. nova esc. – São Paulo-SP, v. 45, n. 4, p. 261-266, nov. 2023. Disponível em: http://qnesc.sbq.org.br/online/qnesc45-4/03-</p><p>EQM-34-22.pdf. Acesso em: 30 abr. 2024.</p><p>A presença de substituintes nos anéis afeta a velocidade e orienta as posições nas quais reações</p><p>de SEA subsequentes podem ocorrer. Esses fatos estão relacionados principalmente à</p><p>estabilidade do intermediário reacional e à densidade eletrônica em determinadas posições.</p><p>De acordo com as características do grupamento X acima representado, podemos afirmar que:</p><p>A) se X for um doador de elétrons para o anel aromático, o grupamento Y substituirá um hidrogênio</p><p>na posição orto e/ou para.</p><p>B) se X for um doador de elétrons para o anel aromático, o grupamento Y substituirá um</p><p>hidrogênio apenas na posição para.</p><p>C) se X for um doador de elétrons para o anel aromático, o grupamento Y substituirá um</p><p>hidrogênio apenas na posição meta.</p><p>D) se X for um doador de elétrons para o anel aromático, o grupamento Y substituirá um</p><p>hidrogênio apenas na posição orto.</p>

Mais conteúdos dessa disciplina