Logo Passei Direto
Buscar
Material
páginas com resultados encontrados.
páginas com resultados encontrados.
left-side-bubbles-backgroundright-side-bubbles-background

Experimente o Premium!star struck emoji

Acesse conteúdos dessa e de diversas outras disciplinas.

Libere conteúdos
sem pagar

Ajude estudantes e ganhe conteúdos liberados!

Prévia do material em texto

das interações dipolo permanente-dipolo 
permanente. 
c) Os pontilhados representam interações do tipo 
forças de London, que são as mais fortes dentre 
as interações intermoleculares. 
d) As interações mostradas são do tipo íon-dipolo, 
que são fracas quando comparadas com as 
demais interações.
e) Os pontilhados representam interações do tipo 
dipolo-induzido – dipolo induzido, que são as mais 
fortes dentre as interações intermoleculares. 
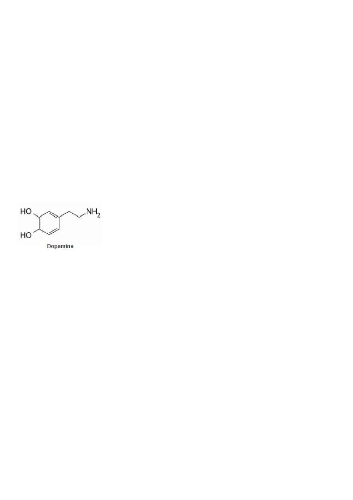
15.. A dopamina é uma substância ligada ao sistema de 
recompensa e responsável pela sensação de bem-estar e 
euforia. Sua estrutura está representada abaixo. 
Explica-se a solubilidade da dopamina em água pela 
formação de ligações ....... devido a ....... dos átomos de 
oxigênio e nitrogênio.
 
As lacunas são, correta e respectivamente, completadas 
por 
a) de hidrogênio - baixa eletronegatividade
b) de hidrogênio - alta eletronegatividade 
c) de hidrogênio - alta eletropositividade 
d) dipolo-dipolo induzido - baixa eletropositividade 
e) dipolo-dipolo induzido - alta eletronegatividade 
16. As substâncias dadas pelas suas fórmulas 
moleculares, CH4, H2S e H2O, estão em ordem crescente 
de seus pontos de ebulição. Esse fato é explicado por 
vários fatores, sendo o principal
a) A massa.
b) O tipo de ligação Interatômica.
c) O ângulo de ligação.
d) A configuração da camada de valência.
e) O tipo de ligação intermolecular.
17. Você já se perguntou por que aquecemos a carne 
antes de comer? A carne é um músculo animal, composto 
por cerca de 75% de água, 20% de proteína e 5% de 
gordura, bem como pequenas quantidades de 
carboidratos, ácidos e sais minerais. As moléculas de 
proteína estão organizadas na forma de bobinas 
interligadas e quando um pedaço de carne crua vai para 
uma frigideira, com o calor, as ligações intermoleculares 
se quebram permitindo um relaxamento na estrutura. Isso 
torna a carne mais mole e mais fácil de digerir.
 
Com relação a essa descrição, três afirmações foram 
feitas:
 
1) A “ligação de hidrogênio” é um tipo de ligação entre o 
átomo de hidrogênio e átomos de oxigênio ou nitrogênio, e 
pode ocorrer de forma intermolecular (entre os átomos de 
diferentes moléculas).
2) As ligações de Van der Waals são ligações mais fortes 
que as ligações covalentes e ocorrem de forma 
intramolecular (entre os átomos de uma mesma molécula).
3) Numa ligação covalente ocorre o compartilhamento de 
elétrons entre dois átomos.
 
Está(ão) correta(s) a(s) afirmativa(s):
a) 1 apenas. 
b) 2 apenas. 
c) 1 e 2 apenas. 
d) 1 e 3 apenas. 
e) 1, 2 e 3.
18. As substâncias SO2 , NH3, HCl e Br2 apresentam as 
seguintes interações intermoleculares, respectivamente:
a) forças de London, dipolo-dipolo, ligação de 
hidrogênio e dipolo induzido-dipolo induzido. 
b) dipolo-dipolo, ligação de hidrogênio, dipolo-dipolo 
e dipolo induzido-dipolo induzido.
c) dipolo-dipolo, ligação de hidrogênio, ligação de 
hidrogênio e dipolo-dipolo.

Mais conteúdos dessa disciplina