Logo Passei Direto
Buscar
Material
páginas com resultados encontrados.
páginas com resultados encontrados.

Prévia do material em texto

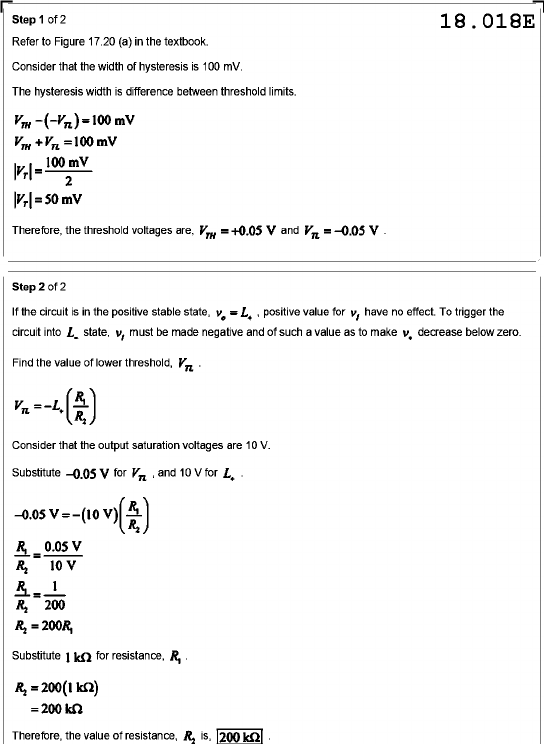
Step 1 of 2 18.018E Refer to Figure 17.20 (a) in the textbook. Consider that the width of hysteresis is 100 mV. The hysteresis width is difference between threshold limits. Therefore, the threshold voltages are, V and V Step 2 of 2 If the circuit is in the positive stable state, = , positive value for v, have no effect. To trigger the circuit into L. state, v, must be made negative and of such a value as to make decrease below zero. Find the value of lower threshold, Consider that the output saturation voltages are 10 V. Substitute -0.05 V for Vₙ and 10 V for L. -0.05 V = 0.05 V R2 10 V R2 Substitute 1 kΩ for resistance, kΩ) = 200 kΩ Therefore, the value of resistance, is, 200 kΩ

Mais conteúdos dessa disciplina