Logo Passei Direto
Buscar

Ferramentas de estudo

Material
páginas com resultados encontrados.
páginas com resultados encontrados.

Prévia do material em texto

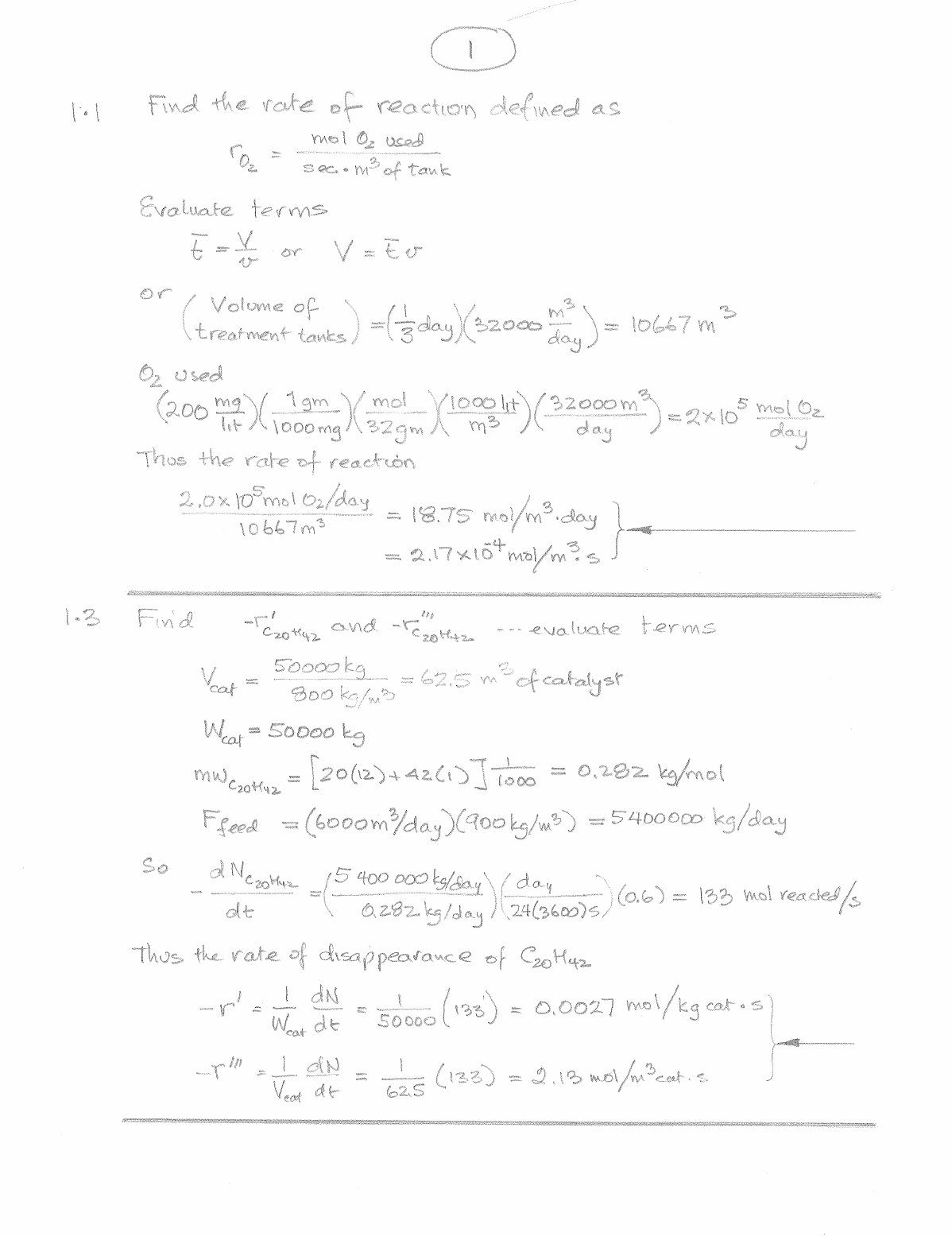
1.1 Find the rate of reaction defined as mol used = sec. m3 of tank Evaluate terms E = V or V = 5 or treatment Volume of tanks) = day)(32000 day m3 ) = 10667 used (200 mg lit 1000mg 1gm 32gm day = mol day Oz Thus the rate of reaction 02/day = 18.75 day 10667m3 = 2.17 1.3 Find -r' and evaluate terms = 50000kg 800 kg/m3 = 62.5 of catalyst = 50000 kg = [20(12) + 42(1) J 1000 = 0.282 kg/mol Ffeed = = 5400000 kg/day So dt = 5 400 000 24(3600)s day ) (0.6) = 133 mol reacted/s Thus the rate of disappearance of = Weat dN dt = 50000 (133) = 0,0027 cat. = Veat dN = 62.5 (133) = 2.13

Mais conteúdos dessa disciplina