Logo Passei Direto
Buscar
Material
páginas com resultados encontrados.
páginas com resultados encontrados.

Prévia do material em texto

CHAPTER 3 79 
 
we saw in Problem 3.15e. By comparing pKa values 
from Table 3.1, we conclude that the following proton is 
more acidic (lower pKa value). 
 
 
 
This suggests that a negative charge will be more 
stabilized when spread over two oxygen atoms, rather 
than being spread over one oxygen atom and three 
carbon atoms (oxygen is more electronegative than 
carbon). 
 
3.18. 
(a) The highlighted proton is the most acidic. When 
this location is deprotonated, the resulting conjugate base 
is stabilized by the electron-withdrawing effects of the 
electronegative fluorine atoms: 
 
 
(b) The highlighted proton is more acidic. When this 
location is deprotonated, the resulting conjugate base is 
stabilized by the electron-withdrawing effects of the 
electronegative chlorine atoms, which are closer to this 
proton than the other acidic proton (left): 
 
 
 
 
3.19. 
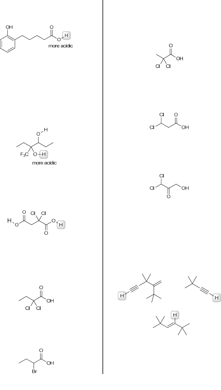
(a) The compound with two chlorine atoms is more 
acidic, because of the electron-withdrawing effects of the 
additional chlorine atom, which helps stabilize the 
conjugate base that is formed when the proton is 
removed. 
 
 
(b) The more acidic compound is the one in which the 
bromine atom is closer to the acidic proton. The 
electron-withdrawing effects of the bromine atom 
stabilize the conjugate base that is formed when the 
proton is removed. 
 
 
3.20. 
(a) In the following compound, one of the chlorine 
atoms has been moved closer to the acidic proton of the 
carboxylic acid group, which further stabilizes the 
conjugate base that is formed when the proton is 
removed. 
 
 
(b) In the following compound, one of the chlorine 
atoms has been moved farther away from the acidic 
proton of the carboxylic acid group, and the distant 
chlorine atom is less capable of stabilizing the conjugate 
base that is formed when the proton is removed. 
 
 
 
(c) There are many acceptable answers to this question, 
since there are many constitutional isomers that lack the 
carboxylic acid functional group. One example is shown 
below. This compound is not a carboxylic acid, so its 
conjugate base is not resonance-stabilized: 
 
 
 
3.21. The most acidic proton is highlighted in each of 
the following compounds. For each of the first two 
compounds, deprotonation leads to a conjugate base in 
which the negative charge is associated with an sp 
hybridized orbital (which is more stable than being 
associated with an sp2 or sp3 hybridized orbital). In the 
final compound, deprotonation leads to a conjugate base 
in which the negative charge is associated with an sp2 
hybridized orbital (which is more stable than being 
associated with an sp3 hybridized orbital). 
 
 
 
 
 
 
www.MyEbookNiche.eCrater.com

Mais conteúdos dessa disciplina