Logo Passei Direto
Buscar

Ferramentas de estudo

Material
páginas com resultados encontrados.
páginas com resultados encontrados.
left-side-bubbles-backgroundright-side-bubbles-background

Crie sua conta grátis para liberar esse material. 🤩

Já tem uma conta?

Ao continuar, você aceita os Termos de Uso e Política de Privacidade

Prévia do material em texto

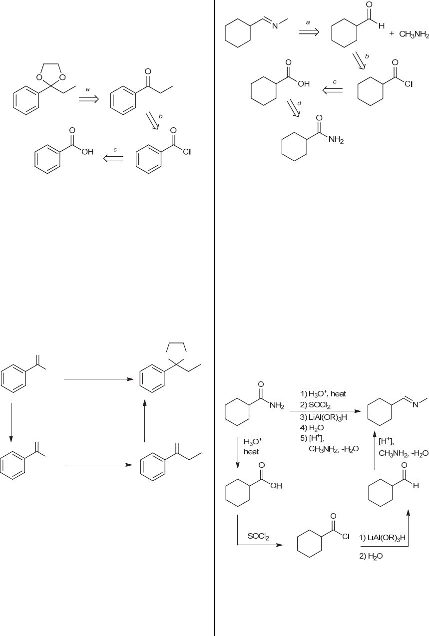
814 CHAPTER 20 
 
 
\20.69. 
(a) There are certainly many acceptable solutions to this 
problem. One such solution derives from the following 
retrosynthetic analysis. An explanation of each of the 
steps (a-c) follows. 
 
 
 
a. The desired cyclic acetal can be made from the 
corresponding ketone (via acetal formation). 
b. The ketone can be made from benzoyl chloride, 
upon treatment with lithium diethyl cuprate. 
c. The acid halide can be prepared from benzoic acid. 
 
 
Now let’s draw the forward scheme. Benzoic acid is 
converted to benzoyl chloride upon treatment with 
thionyl chloride. Subsequent reaction with lithium 
diethyl cuprate installs an ethyl group, giving a ketone. 
An acid-catalyzed reaction with ethylene glycol (with 
removal of water) produces the desired cyclic acetal. 
 
 
OH
O
OO1) SOCl2
2) Et2CuLi
3) HOCH2CH2OH,
[H+], -H2O
Cl
O
SOCl2
Et2CuLi
O
HOCH2CH2OH,
[H+], -H2O
 
 
 
 
 
 
 
 
(b) There are certainly many acceptable solutions to this 
problem. One such solution derives from the following 
retrosynthetic analysis. An explanation of each of the 
steps (a-d) follows. 
 
a. The desired imine can be made from the 
corresponding aldehyde. 
b. The aldehyde can be made from the corresponding 
acid chloride, upon treatment with LiAl(OR)3H, 
followed by water work-up. 
c. The acid chloride can be prepared from the 
corresponding carboxylic acid, upon treatment with 
thionyl chloride. 
d. The carboxylic acid can be made via hydrolysis of 
the starting amide. 
 
Now let’s draw the forward scheme. Acid catalyzed 
hydrolysis of the amide gives a carboxylic acid which is 
then converted to the acid chloride upon treatment with 
thionyl chloride. Reaction with a lithium 
trialkoxyaluminum hydride, followed by water, produces 
the aldehyde. Subsequent treatment of the aldehyde with 
methylamine under acid-catalyzed conditions (with 
removal of water) gives the desired imine. 
 
 
 
(c) There are certainly many acceptable solutions to this 
problem. One such solution derives from the following 
retrosynthetic analysis. An explanation of each of the 
steps (a-d) follows. 
 
www.MyEbookNiche.eCrater.com

Mais conteúdos dessa disciplina