Logo Passei Direto
Buscar
Material
páginas com resultados encontrados.
páginas com resultados encontrados.
left-side-bubbles-backgroundright-side-bubbles-background

Crie sua conta grátis para liberar esse material. 🤩

Já tem uma conta?

Ao continuar, você aceita os Termos de Uso e Política de Privacidade

Prévia do material em texto

CHAPTER 20 809 
 
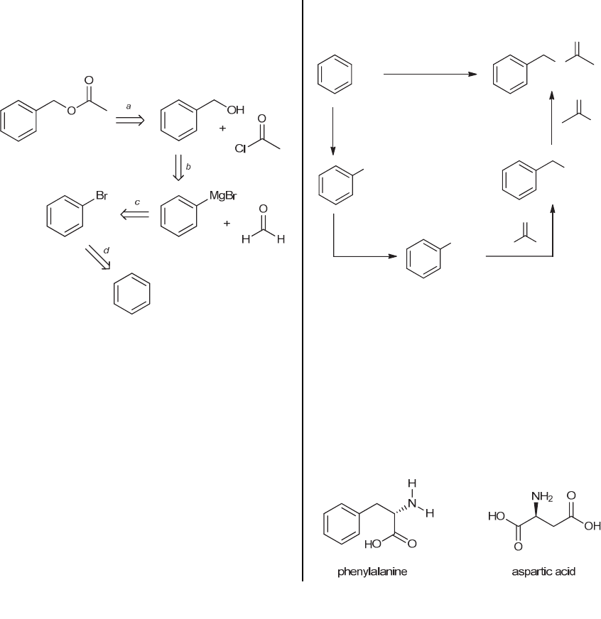
20.59. There are certainly many acceptable solutions to 
this problem. One such solution derives from the 
following retrosynthetic analysis. An explanation of 
each of the steps (a-d) follows. 
 
 
 
a. The ester can be made via acetylation of the 
corresponding alcohol (benzyl alcohol). 
b. The alcohol can be made from the reaction between 
phenyl magnesium bromide and formaldehyde. 
c. Phenyl magnesium bromide can be made from 
bromobenzene, via insertion of magnesium. 
d. Bromobenzene can be made from benzene via 
bromination of the aromatic ring. 
 
Now let’s draw the forward scheme. Benzene is 
converted into bromobenzene upon treatment with Br2 
and AlBr3 (via an electrophilic aromatic substitution 
reaction). Bromobenzene is then converted to phenyl 
magnesium bromide (a Grignard reagent), which is then 
treated with formaldehyde, followed by water work-up, 
to give benzyl alcohol. This alcohol then serves as a 
nucleophile in a subsequent acyl substitution reaction 
with acetyl chloride and pyridine to produce benzyl 
acetate (a process called acetylation). 
O
O
2) Mg
3) CH2O
5) CH3COCl, pyridine
1) Br2, AlBr3
Br2,
AlBr3
Br
Mg
MgBr H H
O
OH
Cl
O4) H2O
1)
2) H2O
pyridine
,
 
 
20.60. Hydrolysis of aspartame hydrolyzes both the 
amide group and the ester group in the molecule. 
Hydrolysis of the ester group produces methanol and 
the carboxylic acid group in phenylalanine, shown 
below. Hydrolysis of the amide group converts this 
group to an amine (shown below on phenylalanine) and 
a carboxylic acid (on the left side of aspartic acid 
below). Note that the stereochemistry at both chiral 
centers is retained because none of the bonds to the 
chiral centers are broken in this transformation. 
 
 
 
 
 
www.MyEbookNiche.eCrater.com

Mais conteúdos dessa disciplina