Logo Passei Direto
Buscar
Material
páginas com resultados encontrados.
páginas com resultados encontrados.
left-side-bubbles-backgroundright-side-bubbles-background

Crie sua conta grátis para liberar esse material. 🤩

Já tem uma conta?

Ao continuar, você aceita os Termos de Uso e Política de Privacidade

Prévia do material em texto

CHAPTER 22 957 
 
 
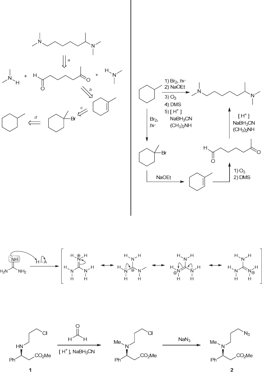
22.88. There are certainly many acceptable solutions to 
this problem. One such solution derives from the 
following retrosynthetic analysis. An explanation of 
each of the steps (a-d) follows. 
 
 
 
a. The product can be made from the corresponding 
dicarbonyl compound via reductive amination with 
excess dimethyl amine (thereby converting each 
carbonyl group into a dimethyl amino group). 
b. The dicarbonyl compound can be made via 
ozonolysis of 1-methylcyclohexene. 
c. 1-Methylcyclohexene can be made from 1-bromo-
1-methylcyclohexane via elimination with a strong 
base. 
d. 1-Bromo-1-methylcyclohexane can be made from 
the starting material via radical bromination at the 
tertiary position. 
 
Now let’s draw the forward scheme. Radical 
bromination of the starting cycloalkane gives a tertiary 
alkyl bromide, which is then converted into an alkene 
upon treatment with a strong base, such as ethoxide. 
Ozonolysis causes cleavage of the C=C bond, thereby 
opening the ring and giving a dicarbonyl compound, 
which can then be converted into the product via 
reductive amination, upon treatment with excess 
dimethylamine and sodium cyanoborohydride with acid 
catalysis. 
 
 
 
 
 
22.89. Protonation of the highlighted nitrogen atom results in a cation that is highly resonance stabilized. Protonation 
of either of the other nitrogen atoms would not result in a resonance-stabilized cation. 
 
 
 
22.90. Two steps are required. The secondary amine must be methylated to give a tertiary amine, and the halogen (Cl) 
must be replaced with azide. The first step can be achieved via a reductive amination (the nitrogen atom cannot simply 
be methylated by using MeI, because that would result in over-alkylation, giving the quaternary salt, R4N I). Then, in 
the second step, Cl can function as a leaving group in an SN2 reaction with sodium azide, to afford compound 2. 
 
 
 
 
www.MyEbookNiche.eCrater.com

Mais conteúdos dessa disciplina