Logo Passei Direto
Buscar
Material
páginas com resultados encontrados.
páginas com resultados encontrados.
left-side-bubbles-backgroundright-side-bubbles-background

Crie sua conta grátis para liberar esse material. 🤩

Já tem uma conta?

Ao continuar, você aceita os Termos de Uso e Política de Privacidade

Prévia do material em texto

806 CHAPTER 20 
 
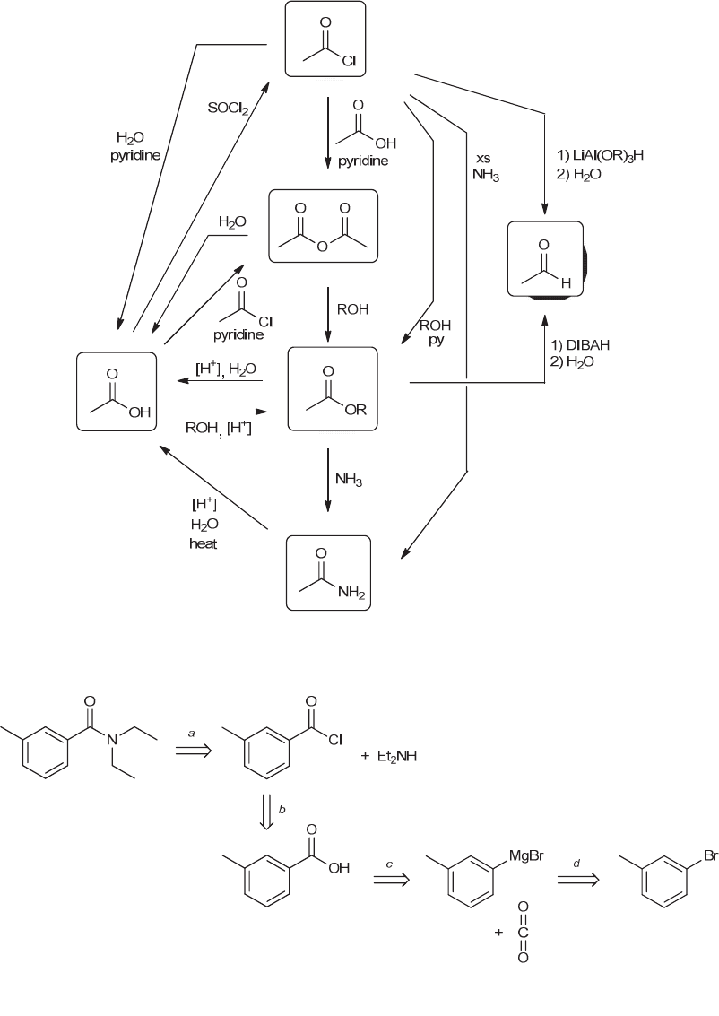
20.53. The reagents for each of these transformations can be found in Figure 20.11. 
 
 
 
20.54. There are certainly many acceptable solutions to this problem. One such solution derives from the following 
retrosynthetic analysis. An explanation of each of the steps (a-d) follows. 
 
 
 
a. The desired amide can be made from the corresponding acid halide (upon treatment with excess diethylamine). 
b. The acid halide can be made from the corresponding carboxylic acid, upon treatment with thionyl chloride. 
c. The carboxylic acid can be made from the reaction between a Grignard reagent and CO2. 
d. The Grignard reagent can be made from the starting material, via insertion of magnesium. 
 
 
www.MyEbookNiche.eCrater.com

Mais conteúdos dessa disciplina