Logo Passei Direto
Buscar
Material
páginas com resultados encontrados.
páginas com resultados encontrados.

Prévia do material em texto

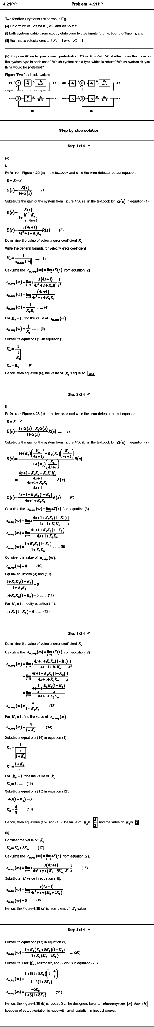
Problem 4.21 PP
(a) Determine values for K^. K2, and K3 so that
(i) both systems exhibit zero steady-state error to step inputs (that is. both are Type 1). and
(ii) their static velocity constant /Cv = 1 when KO = 1.
Two feedback systems are shown in Fig.
(b) Suppose KQ undergoes a small perturbation: KQ-* + 5KQ. What effect does this have on 
the system type in each case? Which system has a type which is robust? Which system do you 
think would be preferred?
Figure Two feedback systems
h p '' ^ l - p ' ’
Step-by-step solution
step 1 of 4
(a)
Refer from Figure 4.36 (a) in the textbook and write the emor detector output equation.
E ^ R - Y
(1)E ( s U - ^
^ ^ 1+G (s)
Substitute the gain of the system from Figure 4.36 (a) in the textbook for G («) in equation (1).
(2)
^ ' A s ^ + s + K ^ , ' '
Determine the value of velocity error coefficient K , ■ 
Write the general formula for velocity error coefficient.
Calculate the ^ . ^ ( o o ) = U in s £ ( j) from equation (2).
, . .. i ( 4 s + l ) 1
'b j-p V ) 4s^+s + K JC ^s'
(4s+ \)
^ H = l i 2 1 z r’ - ^ 4 s ‘ + s + K ^ i
(o o )s— !— .
’ K .K ,
(4)
ForJS:.= l , find the value of
(5)
(® )
(oo) ■ — .
Substitute equations (5) in equation (3).
= ....... (6)
Hence, from equation (6), the value of is equal to |pnel •
Step 2 of 4
Refer from Figure 4.36 (a) in the textbook and write the emor detector output equation.
E s R — Y
Substitute the gain of the system from Figure 4.36 (b) in the textbook for in equation (7).
--------------i 4 £ ± i £ _ i d £ ± y j t ( , )
------------R(s)
(8)
4J + 1 + C A
4s + l
Calculate the from equation (8).
4 s+ i + a:,a:„
, , 4 j + i + i r A ( i - A : , )
^ ( * ) = ------------- “4 1 + i + a:,* :.
, X l i M M J
Consider the value of ^ ( » ) •
e . « , H = 0 (10)
Equate equations (9) and (10), 
U K , K , ( \ - K , )
i+ A r , x . ( i - ^ : , ) = o (11)
For AT̂ « i , modify equation (11).
i + i : , ( i - a: , )= o ......(1 2 )
(9)
Step 3 of 4
Determine the value of velocity error coefficient K, 
Calculate the from equation (8).
' ’ ,-M 4s + i + a:,k , *’
■ — 4 s + i+ ^ r ,^ :. s
^ ̂ 1 ̂ K , K , ( \ - K , )
pH '
, H
• lim — S ^.■M
4
■ (13)
F o r j r . = l , find the value of
4
■.......... ....... (14)
U K , ' ^
Substitute equations (14) in equation (3).
a: . *
\ U K , \
U K ,
For AT, a 1. find the value of K,- 
a: , = 3 ........ (15)
Substitute equations (15) in equation (12).
i+ 3 ( i - * r j ) = o
.(16)K - 1« p - 3
Hence, from equations (15), and (16). the value
(b)
Consider the value of A^.
K ^ ^ K ^ + 8 K ^ ...... (17)
Calculate the ^ * pH = '™ » ^ W from equation (2).
of ATjis and the value of AT, is [^ .
.(18)
‘ i . * p l ) ‘™ * 4 i ’ + i+ (A r .+ S A r ,) iir , j
Substitute AT| value in equation (18).
•b » p v I « P 4 i ' + * + ( * ; ,+ 8 a:„)
e . « p H = 0 (19)
Hence, the Figure 4.36 (a) is regardless of K^ value.
Step 4 of 4
Substitute equations (17) in equation (9).
, . i + a: , ( a: . + 5 a: . ) ( i - a: , )
t _ (

Mais conteúdos dessa disciplina