Logo Passei Direto
Buscar
Buscar
Clube PD
Aprender Inglês
PD Concursos
Enviar material
Entrar
Funções f(x) e g(x)
Cálculo
Colégio Objetivo
Isabela Silva Hathaway
em
01/12/2025
0
0
Reportar
Reportar
Gabarito
Exercícios
Mapa mental
Resumo
Mais opções
Ferramentas de estudo
Gabarito
Exercícios
Mapa mental
Resumo
Mostrar todas
Conteúdos escolhidos para você
1 pág.
Funções f(x) e g(x)
1 pág.
Função exponencial - exercício com resposta - (Mack SP) Dadas as funções f(x) = 2 x² 4 e g(x) = 4 x² 2x, se x satisfaz f(x) = g(x), então 2x é:
Perguntas dessa disciplina
Dadas as funções f(x)=1−2x �(�)=1−2� e g(x)=senx �(�)=���� , assinale a alternativa correta que corresponde as funções (f∘g)(x) (�∘�)(�) e (g∘f)(...
[T'O] internal ou x^=(x)6 x/ (x)6 definida como = A = Sb [f(x) g(x)]dx desde que f(x) ≥ f(x) ≥ g(x) g(x) para todo XE [a, b]. Nesse sentido, assina...
10. Se f e g forem funções tais que (f ◦ g)(x) = x e (g ◦ f)(x) = x, então f e g serão funções inversas. Mostre que f e g são funções inversas. (a)...
Julgue a seguinte assertiva: se f, g: R→ R são funções, então fog =gof. a) A assertiva é falsa, as funções f(x) = x + 1 e g(x) = x² são contraexemp...
Material
Buscar
páginas com resultados encontrados.
páginas com resultados encontrados.
Buscar
Conteúdos escolhidos para você
1 pág.
Funções f(x) e g(x)
1 pág.
Função exponencial - exercício com resposta - (Mack SP) Dadas as funções f(x) = 2 x² 4 e g(x) = 4 x² 2x, se x satisfaz f(x) = g(x), então 2x é:
Perguntas dessa disciplina
Dadas as funções f(x)=1−2x �(�)=1−2� e g(x)=senx �(�)=���� , assinale a alternativa correta que corresponde as funções (f∘g)(x) (�∘�)(�) e (g∘f)(...
[T'O] internal ou x^=(x)6 x/ (x)6 definida como = A = Sb [f(x) g(x)]dx desde que f(x) ≥ f(x) ≥ g(x) g(x) para todo XE [a, b]. Nesse sentido, assina...
10. Se f e g forem funções tais que (f ◦ g)(x) = x e (g ◦ f)(x) = x, então f e g serão funções inversas. Mostre que f e g são funções inversas. (a)...
Julgue a seguinte assertiva: se f, g: R→ R são funções, então fog =gof. a) A assertiva é falsa, as funções f(x) = x + 1 e g(x) = x² são contraexemp...
Prévia do material em texto
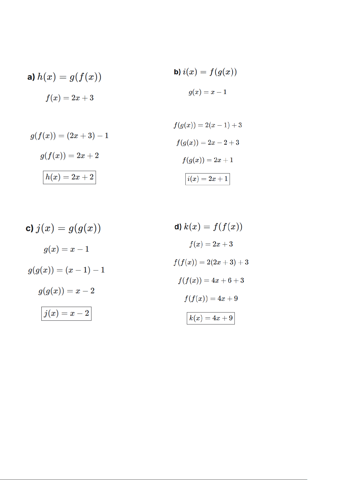
Funções dadas: f(x)=2x+3 g(x)=x−1
Mais conteúdos dessa disciplina
Resumo de Questões de Cálculo
Função Harmônica e Laplace
Vaginite Aeróbia - Documentos Google
Screenshot_20251130_153033_Revendedores Grupo Boticrio
Aula-20-04-22-Integrais definidas (1)
Mapa Mental - Equações Lineares
Cálculo é Fácil! - Cálculo 1 (1) - Resumo
pergunta 8
pergunta 6
pergunta 4
pergunta 3
pergunta 2
Pergunta 2. pontos: 0,100 0 volume do sólido de revolução, gerado pela rotação da região R em torno do eixo X, delimitada pelas curvas pela reta x=...
Pergunta 1. pontos: 0,100 O volume do sólido de revolução, gerado pela rotação da região R em torno do eixo X, delimitada pela curva y = -x², pelo ...
Em uma apresentação aérea de acrobacias de avião de controle remoto, 0 avião descreve um arco no formato de uma parábola de acordo com a seguinte f...
Questão 1 de 10 Resolva as seguintes integrais: I. ∫sen x−−−−−√3cos x dx II. ∫sen(5β−π)dβ III. ∫ln x2xdx IV. ∫dyy2−4y+4 V. ∫(ecx+e2cx)2dx VI. ∫sec2(5y
Ainda Um dos conceitos importantes no estudo de limites de funções são OS limites no infinito e limites infinitos. Apesar de soar ser a mesma coisa...
encontre a forma mais simplificada da expressão algébrica: 3+x/2x - 4/x + x/x+1?
F - É uma função linear, com coeficiente linear igual a -1 - e coeficiente angular igual a +3. II - É uma função crescente. III - Quando X = 10 O v...
Determine a posição x do centróide. A figura mostra uma área limitada: • Pela curva y = \sqrt{x^{1/2} + 2x^{5/3}} • Pela linha vertical x = 0 •...
Se uma máquina trabalha com a base β, os números são representados no formato ± ( 0 , 𝑑 1 𝑑 2 𝑑 3 … 𝑑 𝑡 ) 𝛽 × 𝛽 𝑘 ±(0,d 1 d 2 d 3 …d t
A função definida por f(x) = – 2x² + 2x + 6, possui seu gráfico apresentado a seguir. O valor da subtração de Yv por Xv é: a. 6 b. 4 c. 1 d. 3 e. 5
Seja uma força dada pela expressão 𝑓 ( 𝑥 ) = 𝑥 2 + 𝑒 𝑥 f(x)=x 2 +e x . A função já está calculada para os pontos da abscissa 𝑥 𝑖 x i , confor
Reescrever a pergunta Considere a tabela abaixo contendo alguns pontos da função f(x). Determine a integral aproximada de f(x) no intervalo x ∈ [-1, 3
Calcule o limite com x tendendo a 2 da função, f(x) = 3x² - 4x. feito na HP50g
Determine o valor de X para o seguinte logaritmo: log_10(98) = X A. 1.99 B. 6.19 C. 3.92 D. 2.74
Se G G é a primitiva dexe x xex tal queG(0)=0 G(0)=0 , entãoG(1) G(1) é
Mostrar mais conteúdos
chevronDownIcon