Logo Passei Direto
Buscar

Pré-relatório 1 - Química Orgânica II Experimental

Ferramentas de estudo

Material
páginas com resultados encontrados.
páginas com resultados encontrados.

Prévia do material em texto

GQO - Química Orgânica II Experimental 
 
Nome do aluno(a): Paulo Vitor da Silva Braga 
 
Pré-relatório número: 1 
 
1- Experimento: Síntese da acetanilida 
 
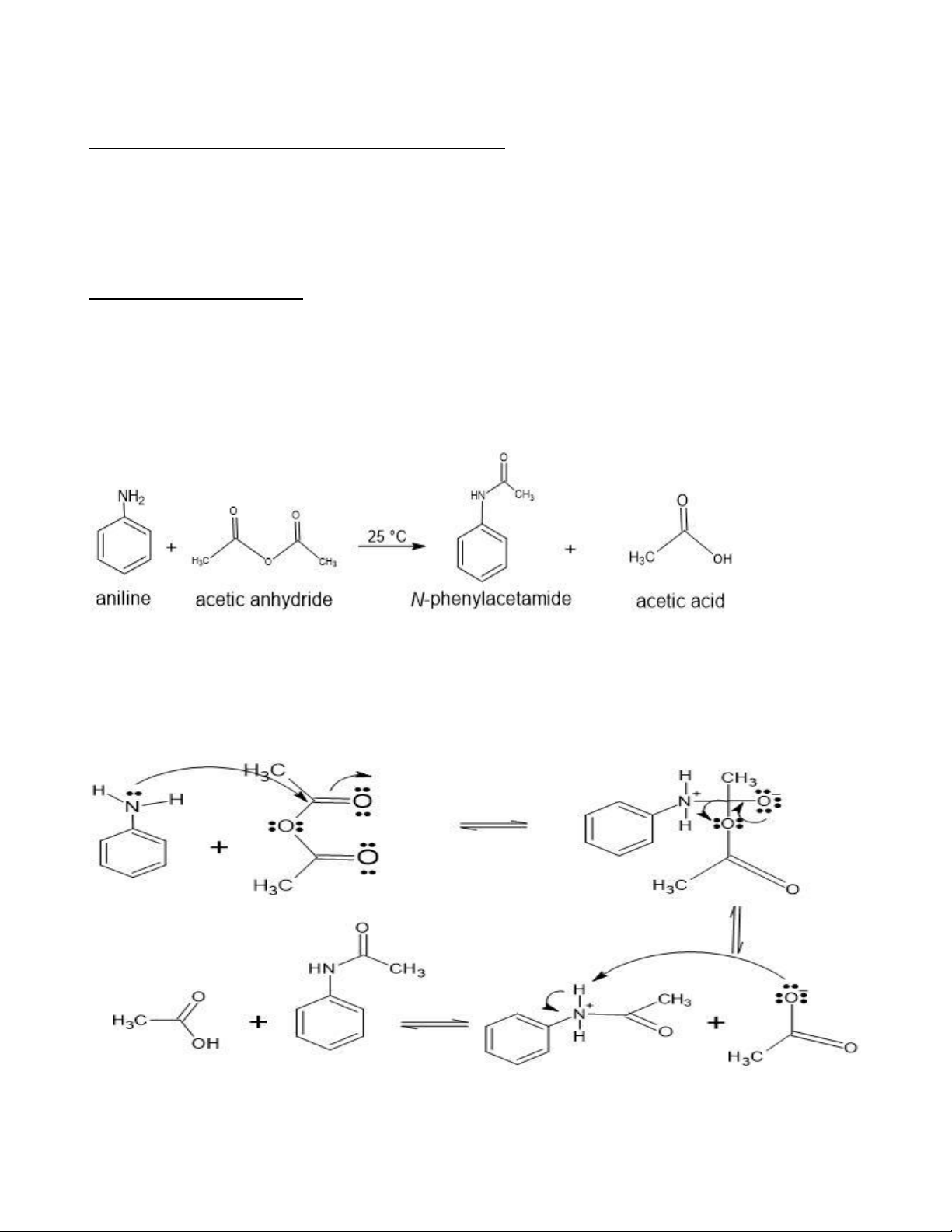
2- Reação: 
 
Esquema 1: Síntese da acetanilida a partir da reação da anilina com anidrido acético¹ 
 
3- Mecanismo da reação: 
 
 
Esquema 2: Mecanismo da reação da síntese da acetanilida a partir da reação da anilina com 
anidrido acético² 
1 
 
 
 
4- Constantes Físicas dos Reagentes e Produtos: 
Substância Massa 
Molar 
(g/mol) 
P. Fusão 
(oC) 
P. Ebulição 
(oC) 
Densidade 
a 20 oC 
Solubilidade (g/L) 
Anilina³ 93,13 -6 184 1,02 36,0 
Anidrido acético⁴ 102,09 -73 139 1,08 Hidrólise violenta 
(miscível em água) 
Acetanilida⁵ 135,17 113 -115 304 1,22 5,0 
Ácido acético⁶ 60,05 16,64 116 - 118 1,04 602,9 
 
5- Cálculos das massas e volumes utilizados: 
- No experimento adiciona 0,08 mol de anilina, usando a massa molar da anilina, 
pode-se calcular a massa para 0,08 mol. Então: 
 1 mol — 93,13 g 
0,08 mol — X g 
 
X = 7,45 g de anilina 
 
Sabendo que a densidade da anilina é 1,02 g/cm3 e d = m / V, então o volume de anilina é: 
1,02 =7,45 / V 
V = 7,30 mL 
 
- Usando a mesma ideia para o anidrido acético, temos 0,14 mol, MM = 102,09 g/mol e 
d = 1,08 g/cm3: 
 
 1 mol — 102,09 g 
0,14 mol — X g 
X = 14,30 g de anidrido acético 
 
Usando a densidade: 
2 
 
 
1,08 = 14,30 / V 
V = 13,24 mL 
 
6- Fluxograma dos experimentos: 
 
 
7- Toxidez dos reagentes e produtos: 
Anilina: Tóxico se ingerido.⁷ 
 
Anidrido acético: Causa queimaduras severas, inflamável, perigoso por inalação e ingestão. 
E em contato com os olhos provoca danos severos.⁸ 
 
Ácido acético: Inflamável e nocivo em contato com a pele ou por inalação. Provoca 
queimaduras na pele e lesões oculares graves.⁹ 
 
Acetanilida: Tóxico se ingerido, inalado ou em contato com a pele. Provoca irritação cutânea, 
irritação ocular grave, irritação nas vias respiratórias e perigoso aos ambientes aquáticos.¹⁰ 
3 
 
 
8- Reação do teste de confirmação: 
Não ocorre teste de confirmação. 
 
9- Bibliografia (Normas da ABTN): 
1. Costa, Amanda Rodrigues Pinto; Santos, Mayane Barbosa; Lima, Carolina Guimarães de 
Souza; Boechat, Fernanda da Costa Santos. Apostila de Química Orgânica II Experimental, 
Departamento de Química Orgânica – Universidade Federal Fluminense. 
2. CENTRO FEDERAL DE EDUCAÇÃO TECNOLÓGICA DE MINAS GERAIS. Síntese da 
Acetanilida. Disponível em: 
. Acesso em: 24 ago. 2025. 
3. Anilina Search Results - Brazil. Disponível em: 
. Acesso em: 24 ago. 2025. 
4. Anidrido Acético Search Results - Brazil. Disponível em: 
. Acesso em: 24 ago. 2025. 
5. Acetanilida Search Results - Brazil. Disponível em: 
. Acesso em: 24 ago. 2025. 
6. Ácido acético Search Results - Brazil. Disponível em: 
. Acesso em: 24 ago. 2025. 
7. FICHA DE INFORMAÇÕES DE SEGURANÇA DE PRODUTOS QUÍMICOS. [s.l: s.n.]. 
Disponível em: . Acesso em: 24 
ago. 2025. 
8. Ficha de Informações de Segurança de Produtos Químicos. [s.l: s.n.]. Disponível em: 
. Acesso em: 24 ago. 2025. 
9. FICHA DE INFORMAÇÕES DE SEGURANÇA DE PRODUTOS QUÍMICOS. [s.l: s.n.]. 
Disponível em: . 
Acesso em: 24 ago. 2025. 
10. FICHA DE INFORMAÇÕES DE SEGURANÇA DE PRODUTOS QUÍMICOS. [s.l: s.n.]. 
Disponível em: . 
Acesso em: 24 ago. 2025. 
4 
 
https://www.studocu.com/pt-br/document/centro-federal-de-educacao-tecnologica-de-minas-gerais/laboratorio-de-quimica-organica/sintese-acetanilina-sintese-da-acetanilida-a-akemi-costuma-pedir-um-relatorio-referente-a-varias/7415288
https://www.studocu.com/pt-br/document/centro-federal-de-educacao-tecnologica-de-minas-gerais/laboratorio-de-quimica-organica/sintese-acetanilina-sintese-da-acetanilida-a-akemi-costuma-pedir-um-relatorio-referente-a-varias/7415288
https://www.studocu.com/pt-br/document/centro-federal-de-educacao-tecnologica-de-minas-gerais/laboratorio-de-quimica-organica/sintese-acetanilina-sintese-da-acetanilida-a-akemi-costuma-pedir-um-relatorio-referente-a-varias/7415288
https://www.merckmillipore.com/BR/pt/search/anilina
https://www.merckmillipore.com/BR/pt/search/Anidridoacetico
https://www.merckmillipore.com/BR/pt/search/Acetanilida
https://www.merckmillipore.com/BR/pt/search/acidoacetico
https://www.labsynth.com.br/fispq/FISPQ-%20Anilina.pdf
https://exodocientifica.com.br/fispq_por_codigo/A06963RA.pdf
https://www.labsynth.com.br/fispq/FISPQ-%20Acido%20Acetico.pdf
https://www.labsynth.com.br/fispq/FISPQ-%20Anidrido%20Acetico.pdf

Mais conteúdos dessa disciplina