Logo Passei Direto
Buscar
Material
páginas com resultados encontrados.
páginas com resultados encontrados.

Prévia do material em texto

708 CHAPTER 19 
 
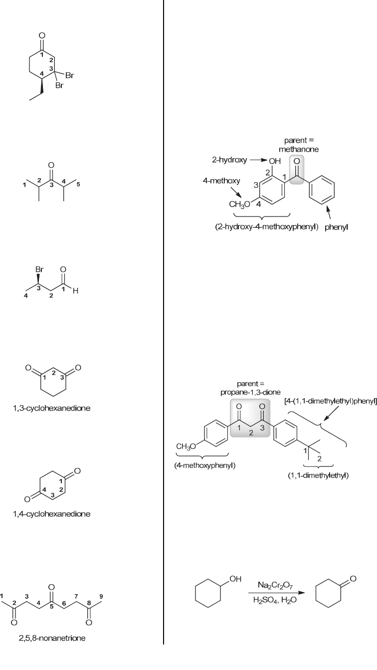
substituents: two bromine atoms (both at C3) and an 
ethyl group (at C4). The chiral center at C4 has the S 
configuration: 
 
 
(b) The name indicates that the parent (3-pentanone) is a 
chain of five carbon atoms, with the carbonyl group at 
C3. There are two substituents (both methyl groups), 
located at C2 and C4, as shown: 
 
 
 
(c) The name indicates that the parent (butanal) is a chain 
of four carbon atoms, with the carbonyl group at C1 (by 
definition). There is only one substituent (Br), located at 
C3, which exhibits the R configuration, as shown: 
 
 
 
19.3. 
(a) The parent is a six-membered ring with two carbonyl 
groups (a dione). The locants indicate the relative 
positions of the carbonyl groups (C1 and C3): 
 
 
 
(b) The parent is a six-membered ring with two carbonyl 
groups (a dione). The locants indicate the relative 
positions of the carbonyl groups (C1 and C4): 
 
 
 
(c) The parent is a chain of nine carbon atoms, for which 
three of the carbon atoms are carbonyl groups (a trione). 
The locants indicate the relative positions of the carbonyl 
groups (C2, C5, and C8): 
 
 
19.4. 
(a) To draw a complex molecule when given a complex 
name, it helps to start at the end and work backwards. 
First, draw the parent compound (methanone = a one-
carbon ketone). Next, draw the substituents. There are 
two substituents in this case: phenyl and (2-hydroxy-4-
methoxyphenyl). Draw the complex substituent by 
starting with a phenyl group and then adding the hydroxy 
and methoxy groups at the appropriate positions (recall 
that the point of attachment to the parent chain is defined 
as carbon #1 of the substituent). You may recognize that 
another possible name for this compound is 2-hydroxy-
4-methoxybenzophenone. 
 
 
(b) Following the same approach, we begin by drawing 
the parent, propane-1,3-dione, a three-carbon ketone 
with carbonyl groupss at positions 1 and 3. Next to the 
carbonyl group, we place a phenyl substituent with a 
methoxy group on carbon 4. Next to the other carbonyl 
group, we draw a phenyl substituent with a 1,1-
dimethylethyl group (also known as a t-butyl group) at 
carbon 4. Note: the systematic use of the parentheses 
should clarify the position of the entire tert-butylphenyl 
substituent on the parent diketone compound (e.g. “3”) 
as well as the position of the tert-butyl “sub-substituent” 
on the phenyl substituent (the “4” or para position). 
 
 
 
 
19.5. 
(a) Oxidation of a secondary alcohol (to give a ketone) 
can be achieved with chromic acid (H2CrO4), which is 
prepared by mixing sodium dichromate (Na2Cr2O7) and 
aqueous sulfuric acid. Alternatively, PCC or DMP can 
affect this transformation. 
 
 
 
www.MyEbookNiche.eCrater.com

Mais conteúdos dessa disciplina