Logo Passei Direto
Buscar
Material
páginas com resultados encontrados.
páginas com resultados encontrados.

Prévia do material em texto

CHAPTER 22 959 
 
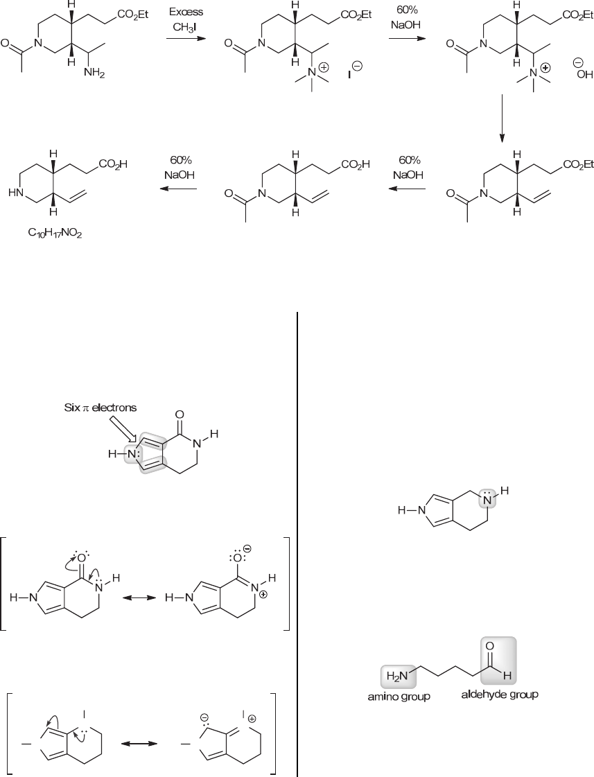
22.92. The starting material has a primary amino group. When treated with excess methyl iodide, it will undergo 
exhaustive methylation to produce a quaternary ammonium salt. When this salt is treated with NaOH, first an anion 
exchange occurs, followed by an E2 elimination to produce an alkene (Hofmann elimination). At this stage it would be 
useful to take inventory of the other functional groups in the molecule. Compound 5 also contains an ethyl ester. We 
saw in Section 20.11 that esters will undergo saponification when treated with aqueous sodium hydroxide. We also 
learned in Section 20.12 that amides undergo hydrolysis when treated with aqueous sodium hydroxide, to afford a 
carboxylic acid as well as an amine. In this case, the product has the molecular formula C10H17NO2. 
 
 
 
 
 
 
 
22.93. Option (a) has two nitrogen atoms, although 
both are expected to be weakly basic. The nitrogen atom 
on the left is not a strong base because its lone pair is 
involved in aromaticity and is therefore not available to 
function as a base (not even as a weak base): 
 
 
 
The nitrogen atom on the right is also not basic, because 
its lone pair is delocalized by resonance: 
 
 
In option (b), the nitrogen atom on the right has a lone 
pair that is delocalized, 
 
N
N
H
H
N
N
H
H
 
 
but the delocalization is not as pronounced as it is in the 
case of an amide (because a resonance structure with C¯ 
is less significant than a resonance structure with O¯ ). 
This compound might function as a base, although it 
would not be expected to be a very strong base, so we 
continue our analysis of the remaining two options. 
Option (c) has only one nitrogen atom, and its lone pair 
is involved in aromaticity. 
Option (d) is the correct answer, because it has a 
nitrogen atom (on the right side) with a localized lone 
pair: 
 
 
This compound is the strongest base among the four 
options. 
 
 
22.94. The reactant has both an amino group and an 
aldehyde group: 
 
 
In the presence of catalytic acid, these two functional 
groups are expected to react with each other, in an 
intramolecular fashion, to give an imine. Since the imine 
www.MyEbookNiche.eCrater.com

Mais conteúdos dessa disciplina