Logo Passei Direto
Buscar
Material
páginas com resultados encontrados.
páginas com resultados encontrados.

Prévia do material em texto

652 CHAPTER 18 
 
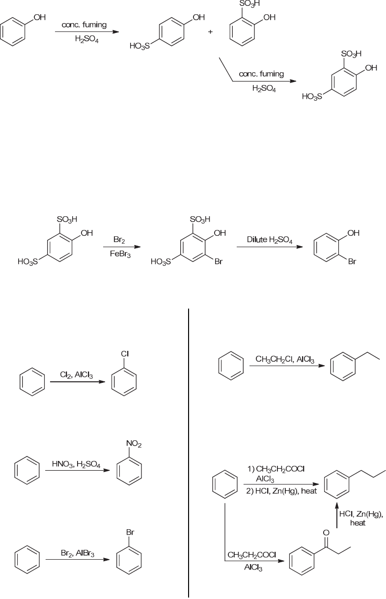
some reactive positions, brominate, and then unblock. As we have seen, reactive positions can be blocked via 
sulfonation, as shown here: 
 
 
The first sulfonic acid group is installed quickly, and it deactivates the ring somewhat, so the second sulfonation is 
expected to occur more slowly (and possibly require a higher temperature). A third sulfonation would require an even 
higher temperature, so there is likely an optimum temperature at which the disulfonated product can be obtained in high 
yield (and indeed, this is the case!). The regiochemistry of the second sulfonation is controlled by the o/p-directing 
effect of the OH group (although the meta-directing SO3H group also directs to the same location). This double 
blocking can be carried out in one synthetic step with excess fuming sulfuric acid, but is shown stepwise above for 
clarity. 
Bromination at the only remaining reactive site, followed by desulfonation to remove the two blocking groups, yields 
the desired product: 
 
 
 
 
 
 
18.24. 
(a) The aromatic ring will undergo chlorination upon 
treatment with molecular chlorine (Cl2) and a Lewis acid 
(AlCl3). 
 
 
(b) The aromatic ring will undergo nitration upon 
treatment with a mixture of nitric acid and sulfuric acid. 
 
 
 
(c) The aromatic ring will undergo bromination upon 
treatment with molecular bromine (Br2) and a Lewis acid 
(AlBr3 or FeBr3). 
 
 
(d) The aromatic ring will undergo a Friedel-Crafts 
alkylation upon treatment with ethyl chloride and a 
Lewis acid (AlCl3), to give ethylbenzene. 
 
 
 
(e) A propyl group cannot be installed via a Friedel-
Crafts alkylation, as a carbocation rearrangement is 
likely to occur. In order to install a propyl group 
(without rearrangement), we can first perform a Friedel-
Crafts acylation, followed by a Clemmensen reduction, 
as shown: 
 
 
 
 
www.MyEbookNiche.eCrater.com

Mais conteúdos dessa disciplina