Logo Passei Direto
Buscar
Material
páginas com resultados encontrados.
páginas com resultados encontrados.

Prévia do material em texto

CHAPTER 18 685 
 
 
 
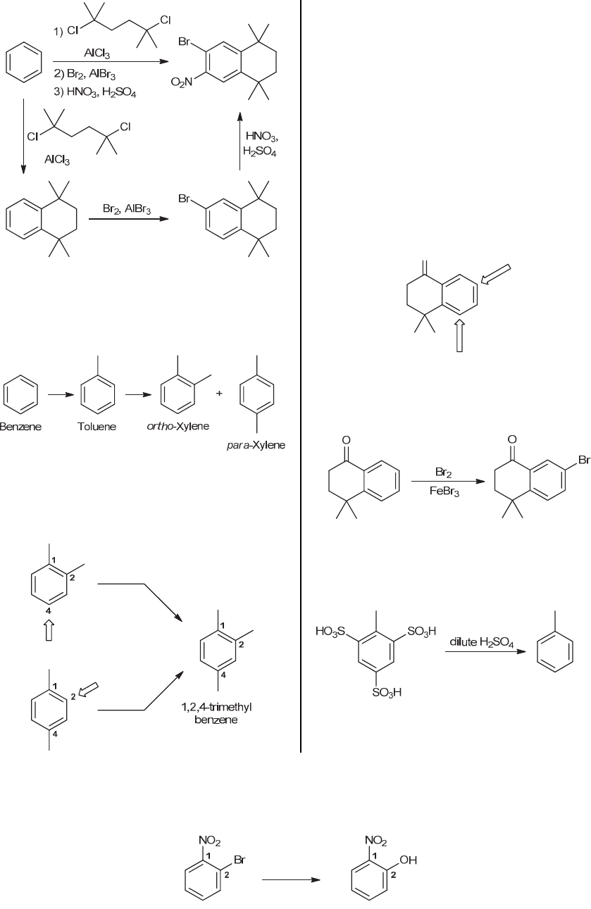
18.68. These reagents will install a methyl group, and 
the problem statement indicates that three methyl groups 
are installed. Installation of the first methyl group gives 
toluene. Methylation of toluene gives a mixture of 
ortho-xylene and para-xylene. 
 
 
 
ortho-Xylene undergoes methylation at C4 because of 
steric factors, while para-xylene undergoes methylation 
at C2 (because all four positions are equivalent). Either 
way, the product is the same: 1,2,4-trimethylbenzene 
 
 
 
18.69. All three available positions are sterically 
hindered. 
 
18.70. The reagents indicate a bromination reaction, so 
we must decide where the bromine atom will be 
installed. The aromatic ring has two substituents: an 
alkyl group and a carbonyl group. The former is a weak 
activator and the latter is a moderate deactivator. The 
directing effects are controlled by the more strongly 
activating group. Therefore, in this case, the alkyl group 
controls the directing effects. As an activator, the alkyl 
group is an ortho-para director. However, one of the 
ortho positions is already occupied (by the other 
substituent). Therefore, there are only two locations 
where bromination can occur (ortho or para to the alkyl 
group): 
O
 
 
Among these two locations, one of them is more 
sterically hindered than the other. The reaction is 
expected to occur at the location that is more sterically 
accessible: 
 
 
 
 
18.71. The reaction conditions (dilute H2SO4) will 
remove each of the sulfonic acid groups, giving toluene 
as the major product: 
 
 
 
18.72. 
(a) The reagent (hydroxide) is a strong nucleophile, and the three criteria for SNAr are met (there is a nitro group and a 
leaving group that are ortho to each other), so we expect an SNAr mechanism. In an SNAr reaction, the nucleophile 
(hydroxide) replaces the leaving group (bromide) and maintains the same location: 
 
 
www.MyEbookNiche.eCrater.com

Mais conteúdos dessa disciplina