Logo Passei Direto
Buscar

Ferramentas de estudo

Questões resolvidas

Qual é a origem da corrente de fuga de um transistor?

Uma tensão de entrada de 2 V rms (medida da base para o terra) é aplicada ao circuito da Figura. Presumindo-se que a tensão de emissor siga exatamente a tensão de base e que Vbe(rms) = 0,1 V, calcule a amplificação de tensão do circuito (Av = Vo/Vi) e a corrente de emissor para RE = 1KW.

Material
páginas com resultados encontrados.
páginas com resultados encontrados.
details

Libere esse material sem enrolação!

Craque NetoCraque Neto

Ao continuar, você aceita os Termos de Uso e Política de Privacidade

details

Libere esse material sem enrolação!

Craque NetoCraque Neto

Ao continuar, você aceita os Termos de Uso e Política de Privacidade

details

Libere esse material sem enrolação!

Craque NetoCraque Neto

Ao continuar, você aceita os Termos de Uso e Política de Privacidade

details

Libere esse material sem enrolação!

Craque NetoCraque Neto

Ao continuar, você aceita os Termos de Uso e Política de Privacidade

details

Libere esse material sem enrolação!

Craque NetoCraque Neto

Ao continuar, você aceita os Termos de Uso e Política de Privacidade

Questões resolvidas

Qual é a origem da corrente de fuga de um transistor?

Uma tensão de entrada de 2 V rms (medida da base para o terra) é aplicada ao circuito da Figura. Presumindo-se que a tensão de emissor siga exatamente a tensão de base e que Vbe(rms) = 0,1 V, calcule a amplificação de tensão do circuito (Av = Vo/Vi) e a corrente de emissor para RE = 1KW.

Prévia do material em texto

Lista 3 Sala 
Eletrônica I – ELE30028 
 
1 - Qual é a origem da corrente de fuga de um transistor? 
 
2 - Se a corrente de emissor de um transistor é de 8 mA e IB 
é 1/100 de IC, determine os valores IC e IB. 
Resposta: 
 
3 – a) Dado aCA de 0,998, determine IC se IE = 4 mA. 
 b) Determine aCC se IE = 2,8 mA e IB = 20 µA. 
 c) Determine IE se IB = 40 µA aCC é 0,98. 
Resposta: 
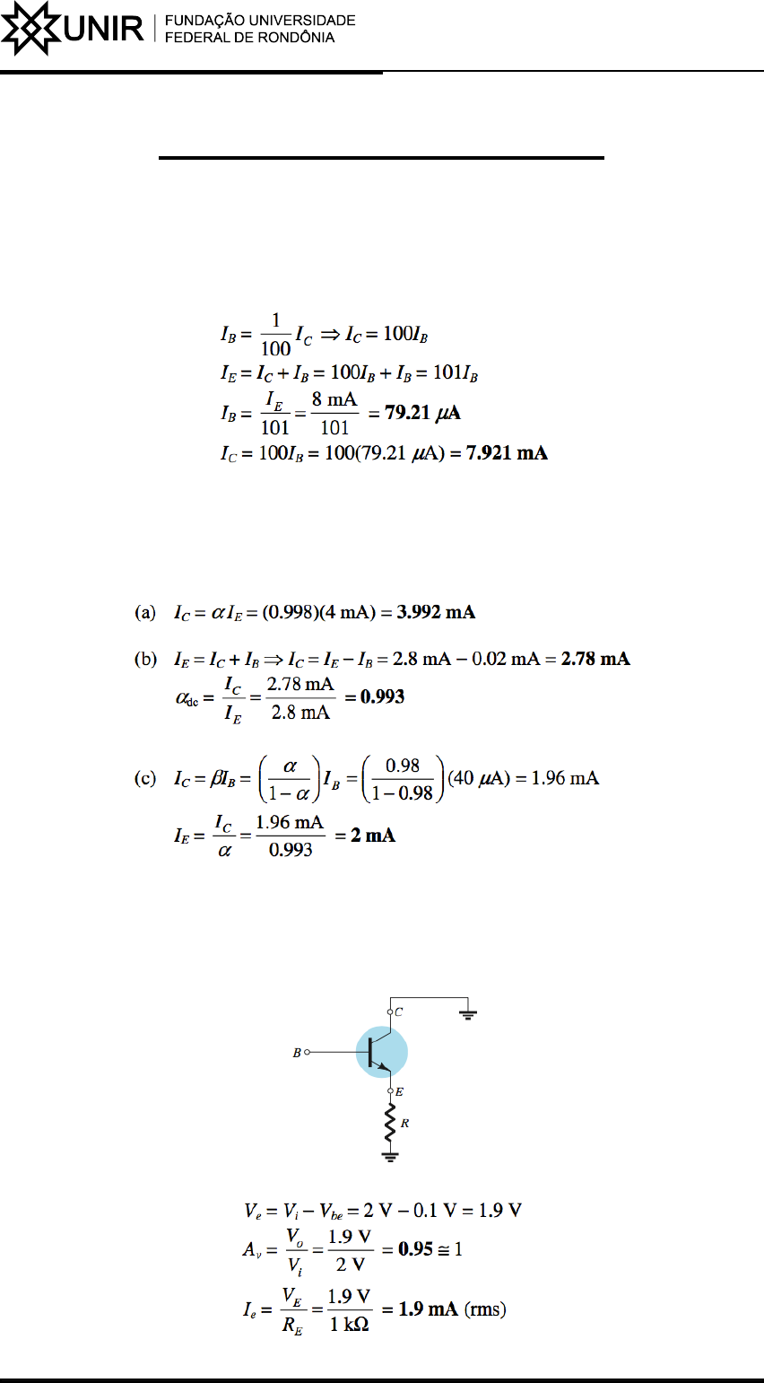
 4 - Uma tensão de entrada de 2 V rms (medida da base para o 
terra) é aplicada ao circuito da Figura. Presumindo-se que 
a tensão de emissor siga exatamente a tensão de base e que 
Vbe(rms) = 0,1 V, calcule a amplificação de tensão do circuito 
(Av = Vo/Vi) e a corrente de emissor para RE = 1KW 
 Resposta: 
 
	
	
5 – Para a configuração de polarização fixa da Figura 
4.118, determine: 
a) IBQ 
b) ICQ 
c) VCEQ 
d) VC 
e) VB 
f) VE 
 Resposta: 
 
6 – Dada a informação mostrada na Figura, determine: 
a)IC 
b)VCC 
c)b 
d)RB 
 Resposta: 
	
	
 7 - Dada a informação fornecida na Figura, determine: 
a) b 
b) VCC 
c) RB 
 Resposta: 
 8 - Determine os parâmetros a seguir para a configuração com 
divisor de tensão da Figura, utilizando o método aproximado, 
se a condição estabelecida pela Equação a seguir for 
satisfeita. 
 a) IC 
b) VCE 
c) IB 
d) VE 
e) VB 
	
	
 Resposta: 
 9 - Para a configuração com realimentação de coletor da 
Figura, determine: 
a) IB 
b) IC 
c) VC 
 Resposta: 
 
	
	
 10 - Para o circuito da Figura, determine: 
a) IB 
b) IC 
c) VCE 
d) VC 
 Resposta:

Mais conteúdos dessa disciplina