Logo Passei Direto
Buscar
Material
páginas com resultados encontrados.
páginas com resultados encontrados.
left-side-bubbles-backgroundright-side-bubbles-background

Crie sua conta grátis para liberar esse material. 🤩

Já tem uma conta?

Ao continuar, você aceita os Termos de Uso e Política de Privacidade

left-side-bubbles-backgroundright-side-bubbles-background

Crie sua conta grátis para liberar esse material. 🤩

Já tem uma conta?

Ao continuar, você aceita os Termos de Uso e Política de Privacidade

left-side-bubbles-backgroundright-side-bubbles-background

Crie sua conta grátis para liberar esse material. 🤩

Já tem uma conta?

Ao continuar, você aceita os Termos de Uso e Política de Privacidade

left-side-bubbles-backgroundright-side-bubbles-background

Crie sua conta grátis para liberar esse material. 🤩

Já tem uma conta?

Ao continuar, você aceita os Termos de Uso e Política de Privacidade

Prévia do material em texto

Combinação Linear 
Dados os vetores , uma expressão do tipo 
, em que são números reais, é uma combinação linear 
dos vetores . Por exemplo, o vetor é 
combinação linear dos vetores e , pois 
existem os números reais 2 e 3 tal que: 
 
Conferindo: 
 
 
 
O vetor não é combinação linear dos vetores 
 e . Vejamos por quê. Tomando as duas 
primeiras coordenadas, temos: 
 
 
Ou ainda: 
 
Resolvendo o sistema obtemos e . Assim, só é 
possível ter se e tiverem esses mesmos 
valores. Mas, examinando as terceiras coordenadas, vemos que: 
 
 
Logo, não é combinação linear de e . 
 
Linearmente independente (LI) e Linearmente dependente 
(LD) 
Dizemos que os vetores são linearmente independentes 
(LI) quando nenhum deles é combinação linear dos demais. Ou 
seja, não é possível encontrar números reais tal que 
, nem números reais tal que 
, tampouco números tal que . 
Quando for possível escrever pelo menos um dos vetores como 
combinação linear dos demais, eles serão linearmente 
dependentes (LD). 
Vejamos algumas situações: 
1ª) Os vetores são 
linearmente independentes, pois qualquer combinação linear de 
e tem a primeira coordenada igual a zero; logo, não pode ser 
igual a cuja primeira ordenada é 1. Observe: 
. 
Analogamente, não é combinação linear de e , e não é 
combinação linear de e . 
2ª) Nos vetores , e , 
observamos que , pois: 
 
 
 
Portanto, esses vetores e são linearmente 
independentes. 
3ª) Se um dos vetores é múltiplo do outro, então 
são linearmente dependentes. Sendo , podemos escrever 
. Logo, é combinação linear de . Portando, 
 são LD. 
Por exemplo, os vetores e 
são LD, pois e podemos escrever ( 
como combinação linear de e ). 
4ª) Se um dos vetores é nulo, então os vetores são 
linearmente dependentes. O vetor nulo é múltiplo de 
qualquer vetor, pois e , quaisquer que sejam 
e . Sejam e , podemos 
escrever ( é combinação linear de e ). Portanto, 
 e são LD. 
 
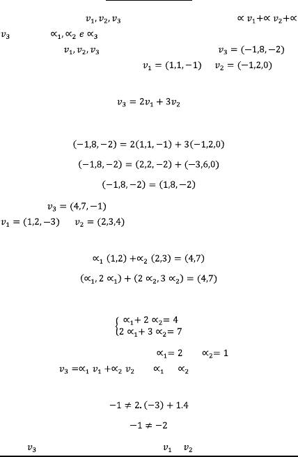
Método para verificar se vetores são LI ou LD 
Vamos verificar se os vetores 
 são LI ou LD. 
Se forem LD, podemos escrever , ou seja: 
 
 
 
Assim: 
 
Da (1ª) e da (3ª) equações tiramos , em que e 
. 
Vejamos se a (2ª) equação é verdadeira ou falsa para esses 
valores. Se for verdadeira os vetores serão LD e se for falsa os 
vetores serão LI. 
 
 
 
 
Como é verdadeira, podemos escrever com 
e . 
 ( como combinação linear de 
 e ). 
Logo, e são LD. 
OBSERVAÇÃO: Se a 4ª equação fosse falsa, não seria 
combinação linear de e , e os vetores e seriam 
LI.

Mais conteúdos dessa disciplina