Logo Passei Direto
Buscar

Fis 2º ano gases 2019

Ferramentas de estudo

Questões resolvidas

Certa massa gasosa ocupa um volume de 800mL à temperatura de – 23°C, numa dada pressão. Qual é a temperatura na qual a mesma massa gasosa, na mesma pressão, ocupa um volume de 1,6 L?
a) 250 K.
b) 350 K.
c) 450 K.
d) 500 K.
e) 600 K.

Um recipiente fechado contém hidrogênio à temperatura de 30ºC e pressão de 606 mmHg. A pressão exercida quando se eleva a temperatura a 47ºC, sem variar o volume será:
a) 120 mmHg.
b) 240 mmHg.
c) 303 mmHg.
d) 320 mmHg.
e) 640 mmHg.

Uma determinada massa gasosa está confinada em um recipiente de volume igual a 6L, a uma pressão de 2,5 atm e sob temperatura de 27 ºC. Quando a pressão cair para 0,5 atm, e o volume diminuir para 5L, qual será o valor da nova temperatura em Kelvin?

Vinte litros de O2(g) foram medidos a 27 ºC e 70 mmHg de pressão. Qual será o novo volume do gás, em litros, a 87 ºC e 600 mmHg?

Observe o gráfico abaixo. Nele, estão mostradas as transformações sofridas por um gás ideal quando se varia a temperatura, pressão ou volume. A partir destas informações, pode-se afirmar que o gás evolui:
a) isobaricamente de 3 a 4.
b) isometricamente de 3 a 4.
c) Isotermicamente de 2 a 3.
d) Isometricamente de 4 a 2.
e) Isobaricamente de 1 a 2.

Assinale a que temperatura temos de elevar 400 mL de um gás a 15 °C para que seu volume atinja 500 mL, sob pressão constante.
a. 25 °C
b. 49 °C
c. 69 °C
d. 87 °C
e. 110 °C

Um recipiente que resiste até a pressão de 3.105N/m2 contém gás perfeito sob pressão de 1.105N/m2 e temperatura 27 °C. Desprezando a dilatação térmica do recipiente, calcule a máxima temperatura que o gás pode atingir.

Certa massa de um gás ideal ocupa o volume de 49,2 L sob pressão de 3 atm e temperatura de 27 °C. A constante universal dos gases perfeitos vale 0,082 atm · L/(mol · K). Determine o número n de mols do gás.

Um motorista calibrou os pneus do carro a uma temperatura de 27 °C. Depois de rodar bastante, ao medir novamente a pressão, encontrou um valor 20% superior ao da pressão inicial. Supondo-se invariável o volume do pneu, a temperatura do gás no interior deve ter atingido:
a) 360 °C.
b) 60 K.
c) 60 °C.
d) 87 °C.
e) 360 K.

Material
páginas com resultados encontrados.
páginas com resultados encontrados.
left-side-bubbles-backgroundright-side-bubbles-background

Crie sua conta grátis para liberar esse material. 🤩

Já tem uma conta?

Ao continuar, você aceita os Termos de Uso e Política de Privacidade

left-side-bubbles-backgroundright-side-bubbles-background

Crie sua conta grátis para liberar esse material. 🤩

Já tem uma conta?

Ao continuar, você aceita os Termos de Uso e Política de Privacidade

Questões resolvidas

Certa massa gasosa ocupa um volume de 800mL à temperatura de – 23°C, numa dada pressão. Qual é a temperatura na qual a mesma massa gasosa, na mesma pressão, ocupa um volume de 1,6 L?
a) 250 K.
b) 350 K.
c) 450 K.
d) 500 K.
e) 600 K.

Um recipiente fechado contém hidrogênio à temperatura de 30ºC e pressão de 606 mmHg. A pressão exercida quando se eleva a temperatura a 47ºC, sem variar o volume será:
a) 120 mmHg.
b) 240 mmHg.
c) 303 mmHg.
d) 320 mmHg.
e) 640 mmHg.

Uma determinada massa gasosa está confinada em um recipiente de volume igual a 6L, a uma pressão de 2,5 atm e sob temperatura de 27 ºC. Quando a pressão cair para 0,5 atm, e o volume diminuir para 5L, qual será o valor da nova temperatura em Kelvin?

Vinte litros de O2(g) foram medidos a 27 ºC e 70 mmHg de pressão. Qual será o novo volume do gás, em litros, a 87 ºC e 600 mmHg?

Observe o gráfico abaixo. Nele, estão mostradas as transformações sofridas por um gás ideal quando se varia a temperatura, pressão ou volume. A partir destas informações, pode-se afirmar que o gás evolui:
a) isobaricamente de 3 a 4.
b) isometricamente de 3 a 4.
c) Isotermicamente de 2 a 3.
d) Isometricamente de 4 a 2.
e) Isobaricamente de 1 a 2.

Assinale a que temperatura temos de elevar 400 mL de um gás a 15 °C para que seu volume atinja 500 mL, sob pressão constante.
a. 25 °C
b. 49 °C
c. 69 °C
d. 87 °C
e. 110 °C

Um recipiente que resiste até a pressão de 3.105N/m2 contém gás perfeito sob pressão de 1.105N/m2 e temperatura 27 °C. Desprezando a dilatação térmica do recipiente, calcule a máxima temperatura que o gás pode atingir.

Certa massa de um gás ideal ocupa o volume de 49,2 L sob pressão de 3 atm e temperatura de 27 °C. A constante universal dos gases perfeitos vale 0,082 atm · L/(mol · K). Determine o número n de mols do gás.

Um motorista calibrou os pneus do carro a uma temperatura de 27 °C. Depois de rodar bastante, ao medir novamente a pressão, encontrou um valor 20% superior ao da pressão inicial. Supondo-se invariável o volume do pneu, a temperatura do gás no interior deve ter atingido:
a) 360 °C.
b) 60 K.
c) 60 °C.
d) 87 °C.
e) 360 K.

Prévia do material em texto

ESCOLA PAROQUIAL SANTA HELENA Valor: 10,0 
DISCIPLINA: Física PROFESSOR: Erivelton Nota: 
Ano: 
TURMA: 2º DATA: 04/06/2019 
NOME DO ALUNO: 
 
Número: 
ATIVIDADE AVALIATIVA EM FÍSICA 
1) Certa massa gasosa ocupa um volume de 800mL à 
temperatura de – 23°C, numa dada pressão. Qual é a 
temperatura na qual a mesma massa gasosa, na mesma 
pressão, ocupa um volume de 1,6 L? 
a) 250 K. b) 350 K. c) 450 K. d) 500 K. e) 600 
K. 
2) Um recipiente fechado contém hidrogênio à 
temperatura de 30°C e pressão de 606 mmHg. A 
pressão exercida quando se eleva a temperatura a 47°C, 
sem variar o volume será: 
a) 120 mmHg. 
b) 240 mmHg. 
c) 303 mmHg. 
 d) 320 mmHg. 
e) 640 mmHg 
3) Uma determinada massa gasosa está confinada em 
um recipiente de volume igual a 6L, a uma pressão de 
2,5 atm e sob temperatura de 27 °C. Quando a pressão 
cair para 0,5 atm, e o volume diminuir para 5L, qual 
será o valor da nova temperatura em Kelvin? 
4) Vinte litros de O2(g) foram medidos a 27 °C e 70 
mmHg de pressão. Qual será o novo volume do gás, em 
litros, a 87 °C e 600 mmHg? 
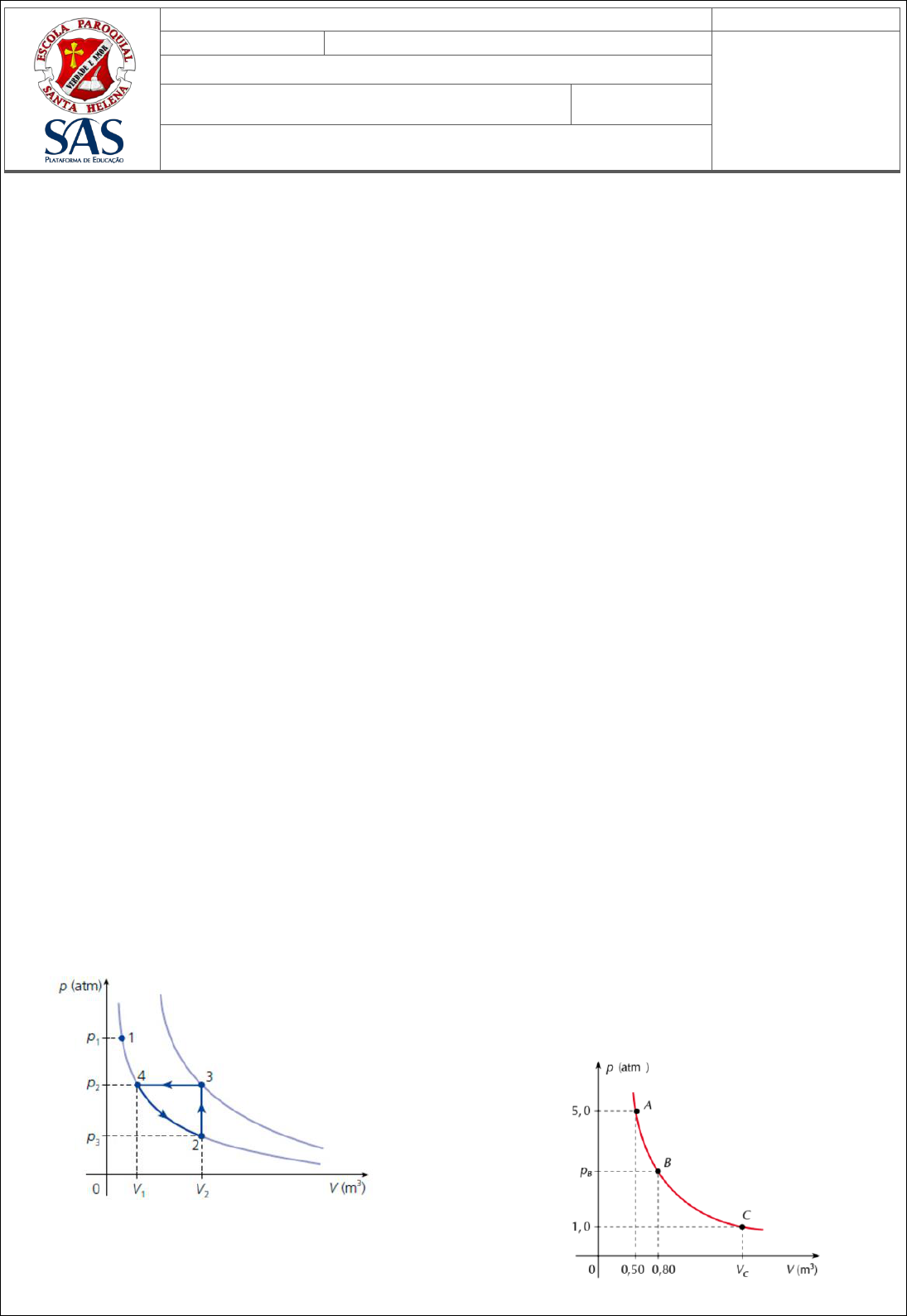
5) (PUC-PR) Observe o gráfico abaixo. 
 
 
 
 
 
 
 
Nele, estão mostradas as transformações sofridas por 
um gás ideal quando se varia a temperatura, pressão ou 
volume. 
A partir destas informações, pode-se afirmar que o gás 
evolui: 
a) isobaricamente de 3 a 4. 
b) isometricamente de 3 a 4. 
c) isotermicamente de 2 a 3. 
d) isometricamente de 4 a 2. 
e) isobaricamente de 1 a 2. 
 
6) (Ufac) Assinale a que temperatura temos de elevar 
400 mL de um gás a 15 °C para que seu volume 
atinja 500 mL, sob pressão constante. 
a. 25 °C 
b. 49 °C 
c. 69 °C 
d. 87 °C 
e. 110 °C 
7) (Faap-SP) Um recipiente que resiste até a 
pressão de 3.105N/m2 contém gás perfeito sob 
pressão de 1.105N/m2 e temperatura 27 °C. 
Desprezando a dilatação térmica do recipiente, 
calcule a máxima temperatura que o gás pode 
atingir. 
 
8) O gráfico mostra três estados de certa massa de 
um gás ideal que sofre uma transformação 
isotérmica. Com base nos valores que aparecem 
nesse gráfico, determine a pressão 
correspondente ao estado B e o volume 
correspondente ao estado C. 
 
 
 
 
 
 
 
9) Certa massa de um gás ideal ocupa o volume de 
49,2 L sob pressão de 3 atm e temperatura de 
27 °C. A constante universal dos gases perfeitos 
vale 0,082 atm · L/(mol · K). Determine o 
número n de mols do gás. 
 
10) Um motorista calibrou os pneus do carro a uma 
temperatura de 27 °C. Depois de rodar bastante, 
ao medir novamente a pressão, encontrou um 
valor 20% superior ao da pressão inicial. Supondo-
se invariável o volume do pneu, a temperatura do 
gás no interior deve ter atingido: 
a) 360 °C. 
b) 60 K. 
c) 60 °C. 
d) 87 °C. 
e) 360 K

Mais conteúdos dessa disciplina