Logo Passei Direto
Buscar

Ferramentas de estudo

Questões resolvidas

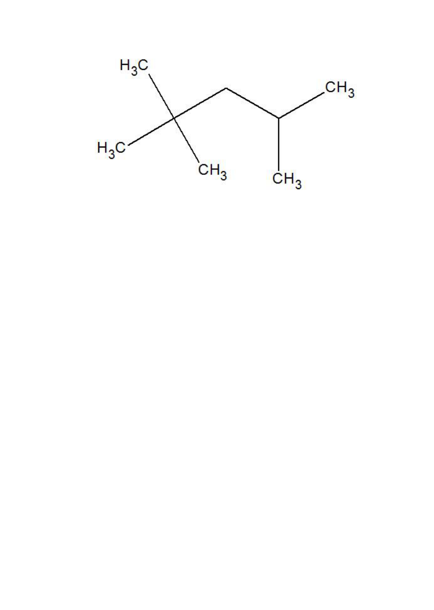
Dada a fórmula estrutural do isoctano, um dos principais componentes da gasolina, abaixo:
Quantos átomos de carbono com hibridização sp3 existem nessa molécula?
a) 4
b) 5
c) 6
d) 7
e) 8

(UFPR) O átomo de carbono sofre três tipos de hibridação: sp3, sp2 e sp. Essa capacidade de combinação dos orbitais atômicos permite que o carbono realize ligações químicas com outros átomos, gerando um grande número de compostos orgânicos. A seguir, são ilustradas estruturas de dois compostos orgânicos que atuam como hormônios.
Acerca da hibridação dos átomos de carbono nos dois hormônios, considere as seguintes afirmativas:
1. A testosterona possui dois átomos de carbono com orbitais híbridos sp2.
2. A progesterona possui quatro átomos de carbono com orbitais híbridos sp2.
3. Ambos os compostos apresentam o mesmo número de átomos de carbono com orbitais híbridos sp3.
4. O número total de átomos de carbono com orbitais híbridos sp3 na testosterona é 16.
a) Somente as afirmativas 1 e 3 são verdadeiras.
b) Somente as afirmativas 2 e 4 são verdadeiras.
c) Somente as afirmativas 2, 3 e 4 são verdadeiras.
d) Somente as afirmativas 1, 2 e 3 são verdadeiras.
e) As afirmativas 1, 2, 3 e 4 são verdadeiras.

Sobre a estrutura do metilbenzeno proposta abaixo:
Podemos afirmar que:
a) Todos os carbonos são hibridizados sp3.
b) Apenas um carbono presente na estrutura apresenta hibridização sp2.
c) Todos os carbonos apresentam hibridização sp2.
d) Todos os carbonos apresentam hibridização sp.
e) Apenas um carbono presente na estrutura apresenta hibridização sp3.

(ITA-SP) A(s) ligação(ões) carbono-hidrogênio existente(s) na molécula de metano (CH4) pode(m) ser interpretada(s) como sendo formada(s) pela interpenetração frontal dos orbitais atômicos s do átomo de hidrogênio, com os seguintes orbitais atômicos do átomo de carbono:
a) Quatro orbitais p.
b) Quatro orbitais híbridos sp3.
c) Um orbital híbrido sp3.
d) Um orbital s e três orbitais p.
e) Um orbital p e três orbitais sp2.

(UFV-MG) No hidrocarboneto de fórmula estrutural representada abaixo, os átomos de carbono estão numerados de 1 a 7.
Sobre esse hidrocarboneto, são feitas as seguintes afirmativas:
I. O total de ligações π (pi) na estrutura é igual a 3.
II. O átomo de carbono 2 forma 3 ligações π (pi) e 1 ligação σ (sigma).
III. O átomo de carbono 5 forma 3 ligações σ (sigma) e 1 ligação π (pi).
IV. O átomo de carbono 1 forma 4 ligações σ (sigma).
a) I, III e IV.
b) II e IV.
c) I e II.
d) I, II e IV.

(ITA-SP) Em relação à molécula esquematizada abaixo, são feitas as seguintes afirmacoes:
Entre as afirmações feitas, estão corretas apenas:
I. Entre os átomos de carbono 1 e 2 existe uma ligação sigma.
II. Entre os átomos de carbono 1 e 2 existe uma ligação pi.
III. Entre os átomos de carbono 1 e 2 existem duas ligações sigma.
IV. Entre os átomos de carbono 1 e 2 existem duas ligações pi.
V. Todas as ligações entre os átomos de carbono e hidrogênio são ligações sigma.
a) I e II.
b) I e III.
c) I, II e V.
d) I, III e V.
e) II, IV e V.

Ligação sigma é o nome dado à interpenetração (junção) de dois orbitais (regiões com maior probabilidade de um elétron ser encontrado) atômicos incompletos no mesmo eixo. Por tratar-se de uma ligação covalente, ela não ocorre entre metais, ou seja, ocorre apenas entre o elemento hidrogênio e ametais. Baseando-se nesses conhecimentos, e no tipo de orbital atômico incompleto de cada átomo, em qual das moléculas a seguir temos uma ligação sigma do tipo p-p?
a) PCl3
b) H2S
c) O2
d) HI
e) NDA.

Material
páginas com resultados encontrados.
páginas com resultados encontrados.
left-side-bubbles-backgroundright-side-bubbles-background

Crie sua conta grátis para liberar esse material. 🤩

Já tem uma conta?

Ao continuar, você aceita os Termos de Uso e Política de Privacidade

left-side-bubbles-backgroundright-side-bubbles-background

Crie sua conta grátis para liberar esse material. 🤩

Já tem uma conta?

Ao continuar, você aceita os Termos de Uso e Política de Privacidade

left-side-bubbles-backgroundright-side-bubbles-background

Crie sua conta grátis para liberar esse material. 🤩

Já tem uma conta?

Ao continuar, você aceita os Termos de Uso e Política de Privacidade

left-side-bubbles-backgroundright-side-bubbles-background

Crie sua conta grátis para liberar esse material. 🤩

Já tem uma conta?

Ao continuar, você aceita os Termos de Uso e Política de Privacidade

left-side-bubbles-backgroundright-side-bubbles-background

Crie sua conta grátis para liberar esse material. 🤩

Já tem uma conta?

Ao continuar, você aceita os Termos de Uso e Política de Privacidade

left-side-bubbles-backgroundright-side-bubbles-background

Crie sua conta grátis para liberar esse material. 🤩

Já tem uma conta?

Ao continuar, você aceita os Termos de Uso e Política de Privacidade

left-side-bubbles-backgroundright-side-bubbles-background

Crie sua conta grátis para liberar esse material. 🤩

Já tem uma conta?

Ao continuar, você aceita os Termos de Uso e Política de Privacidade

left-side-bubbles-backgroundright-side-bubbles-background

Crie sua conta grátis para liberar esse material. 🤩

Já tem uma conta?

Ao continuar, você aceita os Termos de Uso e Política de Privacidade

left-side-bubbles-backgroundright-side-bubbles-background

Crie sua conta grátis para liberar esse material. 🤩

Já tem uma conta?

Ao continuar, você aceita os Termos de Uso e Política de Privacidade

left-side-bubbles-backgroundright-side-bubbles-background

Crie sua conta grátis para liberar esse material. 🤩

Já tem uma conta?

Ao continuar, você aceita os Termos de Uso e Política de Privacidade

Questões resolvidas

Dada a fórmula estrutural do isoctano, um dos principais componentes da gasolina, abaixo:
Quantos átomos de carbono com hibridização sp3 existem nessa molécula?
a) 4
b) 5
c) 6
d) 7
e) 8

(UFPR) O átomo de carbono sofre três tipos de hibridação: sp3, sp2 e sp. Essa capacidade de combinação dos orbitais atômicos permite que o carbono realize ligações químicas com outros átomos, gerando um grande número de compostos orgânicos. A seguir, são ilustradas estruturas de dois compostos orgânicos que atuam como hormônios.
Acerca da hibridação dos átomos de carbono nos dois hormônios, considere as seguintes afirmativas:
1. A testosterona possui dois átomos de carbono com orbitais híbridos sp2.
2. A progesterona possui quatro átomos de carbono com orbitais híbridos sp2.
3. Ambos os compostos apresentam o mesmo número de átomos de carbono com orbitais híbridos sp3.
4. O número total de átomos de carbono com orbitais híbridos sp3 na testosterona é 16.
a) Somente as afirmativas 1 e 3 são verdadeiras.
b) Somente as afirmativas 2 e 4 são verdadeiras.
c) Somente as afirmativas 2, 3 e 4 são verdadeiras.
d) Somente as afirmativas 1, 2 e 3 são verdadeiras.
e) As afirmativas 1, 2, 3 e 4 são verdadeiras.

Sobre a estrutura do metilbenzeno proposta abaixo:
Podemos afirmar que:
a) Todos os carbonos são hibridizados sp3.
b) Apenas um carbono presente na estrutura apresenta hibridização sp2.
c) Todos os carbonos apresentam hibridização sp2.
d) Todos os carbonos apresentam hibridização sp.
e) Apenas um carbono presente na estrutura apresenta hibridização sp3.

(ITA-SP) A(s) ligação(ões) carbono-hidrogênio existente(s) na molécula de metano (CH4) pode(m) ser interpretada(s) como sendo formada(s) pela interpenetração frontal dos orbitais atômicos s do átomo de hidrogênio, com os seguintes orbitais atômicos do átomo de carbono:
a) Quatro orbitais p.
b) Quatro orbitais híbridos sp3.
c) Um orbital híbrido sp3.
d) Um orbital s e três orbitais p.
e) Um orbital p e três orbitais sp2.

(UFV-MG) No hidrocarboneto de fórmula estrutural representada abaixo, os átomos de carbono estão numerados de 1 a 7.
Sobre esse hidrocarboneto, são feitas as seguintes afirmativas:
I. O total de ligações π (pi) na estrutura é igual a 3.
II. O átomo de carbono 2 forma 3 ligações π (pi) e 1 ligação σ (sigma).
III. O átomo de carbono 5 forma 3 ligações σ (sigma) e 1 ligação π (pi).
IV. O átomo de carbono 1 forma 4 ligações σ (sigma).
a) I, III e IV.
b) II e IV.
c) I e II.
d) I, II e IV.

(ITA-SP) Em relação à molécula esquematizada abaixo, são feitas as seguintes afirmacoes:
Entre as afirmações feitas, estão corretas apenas:
I. Entre os átomos de carbono 1 e 2 existe uma ligação sigma.
II. Entre os átomos de carbono 1 e 2 existe uma ligação pi.
III. Entre os átomos de carbono 1 e 2 existem duas ligações sigma.
IV. Entre os átomos de carbono 1 e 2 existem duas ligações pi.
V. Todas as ligações entre os átomos de carbono e hidrogênio são ligações sigma.
a) I e II.
b) I e III.
c) I, II e V.
d) I, III e V.
e) II, IV e V.

Ligação sigma é o nome dado à interpenetração (junção) de dois orbitais (regiões com maior probabilidade de um elétron ser encontrado) atômicos incompletos no mesmo eixo. Por tratar-se de uma ligação covalente, ela não ocorre entre metais, ou seja, ocorre apenas entre o elemento hidrogênio e ametais. Baseando-se nesses conhecimentos, e no tipo de orbital atômico incompleto de cada átomo, em qual das moléculas a seguir temos uma ligação sigma do tipo p-p?
a) PCl3
b) H2S
c) O2
d) HI
e) NDA.

Prévia do material em texto

1 ) Dada a fórmula estrutural do isoctano, um dos principais componentes da gasolina, abaixo:
 
Quantos átomos de carbono com hibridização sp3 existem nessa molécula?
a) 4
b) 6
c) 5
d) 8
e) 7
2 )(UFPR) O átomo de carbono sofre três tipos de hibridação: sp3, sp2 e sp. Essa capacidade de combinação dos orbitais atômicos permite que o carbono realize ligações químicas com outros átomos, gerando um grande número de compostos orgânicos. A seguir, são ilustradas estruturas de dois compostos orgânicos que atuam como hormônios.
 
Acerca da hibridação dos átomos de carbono nos dois hormônios, considere as seguintes afirmativas:
1. A testosterona possui dois átomos de carbono com orbitais híbridos sp2.
2. A progesterona possui quatro átomos de carbono com orbitais híbridos sp2.
3. Ambos os compostos apresentam o mesmo número de átomos de carbono com orbitais híbridos sp3.
4. O número total de átomos de carbono com orbitais híbridos sp3 na testosterona é 16.
Assinale a alternativa correta.
a) Somente as afirmativas 1 e 3 são verdadeiras.
b) Somente as afirmativas 2 e 4 são verdadeiras.
c) Somente as afirmativas 2, 3 e 4 são verdadeiras.
d) Somente as afirmativas 1, 2 e 3 são verdadeiras.
e) As afirmativas 1, 2, 3 e 4 são verdadeiras.
3 )Sobre a estrutura do metilbenzeno proposta abaixo:
Podemos afirmar que:
a) Todos os carbonos são hibridizados sp3.
b) Apenas um carbono presente na estrutura apresenta hibridização sp2.
c) Todos os carbonos apresentam hibridização sp2.
d) Todos os carbonos apresentam hibridização sp.
e) Apenas um carbono presente na estrutura apresenta hibridização sp3.
4) (ITA-SP) A(s) ligação(ões) carbono-hidrogênio existente(s) na molécula de metano (CH4) pode(m) ser interpretada(s) como sendo formada(s) pela interpenetração frontal dos orbitais atômicos s do átomo de hidrogênio, com os seguintes orbitais atômicos do átomo de carbono:
a) Quatro orbitais p.
b) Quatro orbitais híbridos sp3.
c) Um orbital híbrido sp3.
d) Um orbital s e três orbitais p.
e) Um orbital p e três orbitais sp2.
(UFV-MG) No hidrocarboneto de fórmula estrutural representada abaixo, os átomos de carbono estão numerados de 1 a 7.
5)Sobre esse hidrocarboneto, são feitas as seguintes afirmativas:
I. O total de ligações π (pi) na estrutura é igual a 3.
II. O átomo de carbono 2 forma 3 ligações π (pi) e 1 ligação σ (sigma).
III. O átomo de carbono 5 forma 3 ligações σ (sigma) e 1 ligação π (pi).
IV. O átomo de carbono 1 forma 4 ligações σ (sigma).
São corretas apenas as afirmativas:
a) I, III e IV.
b) II e IV.
c) I e II.
d) I, II e IV.
6) (UFV-MG) No hidrocarboneto de fórmula estrutural representada abaixo, os átomos de carbono estão numerados de 1 a 7.
Sobre esse hidrocarboneto, são feitas as seguintes afirmativas:
I. O total de ligações π (pi) na estrutura é igual a 3.
II. O átomo de carbono 2 forma 3 ligações π (pi) e 1 ligação σ (sigma).
III. O átomo de carbono 5 forma 3 ligações σ (sigma) e 1 ligação π (pi).
IV. O átomo de carbono 1 forma 4 ligações σ (sigma).
São corretas apenas as afirmativas:
a) I, III e IV.
b) II e IV.
c) I e II.
d) I, II e IV.
7) (ITA-SP) Em relação à molécula esquematizada abaixo, são feitas as seguintes afirmações:
I. Entre os átomos de carbono 1 e 2 existe uma ligação sigma.
II. Entre os átomos de carbono 1 e 2 existe uma ligação pi.
III. Entre os átomos de carbono 1 e 2 existem duas ligações sigma.
IV. Entre os átomos de carbono 1 e 2 existem duas ligações pi.
V. Todas as ligações entre os átomos de carbono e hidrogênio são ligações sigma.
Entre as afirmações feitas, estão corretas apenas:
a) I e II.
b) I e III.
c) I, II e V.
d) I, III e V.
e) II, IV e V.
8)Ligação sigma é o nome dado à interpenetração (junção) de dois orbitais (regiões com maior probabilidade de um elétron ser encontrado) atômicos incompletos no mesmo eixo. Por tratar-se de uma ligação covalente, ela não ocorre entre metais, ou seja, ocorre apenas entre o elemento hidrogênio e ametais. Baseando-se nesses conhecimentos, e no tipo de orbital atômico incompleto de cada átomo, em qual das moléculas a seguir temos uma ligação sigma do tipo p-p?
a) PCl3
b) H2S
c) O2
d) HI
e) NDA.
Resposta Questão 1
Letra d). Para que um carbono apresente hibridização do tipo sp3, é necessário que suas quatro ligações sejam do tipo sigma. No isoctano, todos os carbonos apresentam apenas ligações sigma, logo, todos eles apresentam hibridização sp3.
voltar a questão
Resposta Questão 2
Letra b). A resposta é a alternativa B porque:
1- A testosterona apresenta três carbonos com hibridização sp2 (aqueles que realizam uma ligação pi), já que todos os outros átomos de carbono são do tipo sp3, isto é, fazem apenas ligações sigma.
3- É impossível as estruturas apresentarem o mesmo número de carbonos sp3, pois elas apresentam diferentes quantidades de carbonos que realizam ligações pi.
voltar a questão
Resposta Questão 3
Letra e). Para que um carbono apresente hibridização do tipo sp3, é necessário que suas quatro ligações sejam do tipo sigma. No metilbenzeno, todos os carbonos do benzeno realizam uma ligação pi (localizada na ligação dupla). Portanto, essa estrutura apresenta apenas um carbono do tipo sp3.
voltar a questão
Resposta Questão 4
Letra b). Como no metano o átomo de carbono realiza quatro ligações simples (sigma), já que esta é a única ligação covalente que o átomo de hidrogênio é capaz de realizar com o carbono, logo, a hibridização do carbono é do tipo sp3.
voltar a questão
Resposta Questão 5
Letra a). A alternativa correta é a letra a porque:
I- Verdadeira. A ligação pi está presente apenas em ligações dupla e tripla. Como na estrutura temos uma ligação dupla (que apresenta 1 ligação pi) e uma ligação tripla (que apresenta duas ligações pi), logo, ela possui 3 ligações duplas.
II- Falsa. No carbono 2, temos uma ligação tripla (a qual é formada por 2 pi e 1 sigma) e uma simples (ligação sigma). Assim, temos 2 ligações pi e 2 ligações sigma.
III- Verdadeira. No carbono 5, temos uma ligação dupla (a qual é formada por 1 pi e 1 sigma) e duas ligações simples (que são ligações sigma). Assim, temos 3 ligações sigma e 1 ligação pi.
IV- Verdadeira. O carbono 1 possui quatro ligações simples (que são ligações sigma).
voltar a questão
Resposta Questão 6
Letra c). Em ambas moléculas, temos apenas a presença de ligações sigma do tipo s-p porque:
Todas as sigma envolvem o elemento hidrogênio, cujo orbital atômico incompleto é o s;
Na água, o hidrogênio está ligado ao oxigênio, e, na amônia, ele está ligado ao nitrogênio. Esses dois elementos apresentam o orbital atômico p incompleto.
Obs.: Nas alternativas d e e aparece a referência aos orbitais sp2 e sp3, os quais têm relação com o elemento carbono ou com os elementos berílio e boro, respectivamente.
voltar a questão
Resposta Questão 7
Letra c). A resposta é a alternativa c, porque:
I- Verdadeiro, pois, como é uma dupla, uma ligação é sigma e a outra é pi.
II- Verdadeiro, pois, como é uma dupla, uma ligação é sigma e a outra é pi.
III- Falso, pois, como é uma dupla, uma ligação é sigma e a outra é pi.
IV- Falso, pois, como é uma dupla, uma ligação é sigma e a outra é pi.
V- Verdadeiro, pois todas as ligações entre os átomos de carbono e hidrogênio são simples.
voltar a questão
Resposta Questão 8
Letra c). A melhor forma de determinar o tipo de uma ligação sigma é conhecendo inicialmente os orbitais incompletos dos átomos envolvidos e, em seguida, montar sua fórmula estrutural:
Átomos envolvidos
Hidrogênio = possui o orbital s incompleto;
Fósforo (P), Oxigênio (O), Cloro (Cl), Iodo (I) = possuem o orbital p incompleto.
Com isso, as alternativas b e d são excluídas, pois a pergunta envolve sigma p-p e, se o hidrogênio está envolvido, ela não será desse tipo.
Montando a fórmula estrutural
a- No PCl3, o fósforo realiza 3 ligações sigma com os átomos de cloro, logo, temos 3 ligações sigma p-p.
c- No O2, temosuma ligação dupla entre os átomos, a qual é composta por uma ligação sigma e outra pi. Como os átomos são iguais, a ligação sigma é do tipo p-p.

Mais conteúdos dessa disciplina