Logo Passei Direto
Buscar
Material
páginas com resultados encontrados.
páginas com resultados encontrados.
left-side-bubbles-backgroundright-side-bubbles-background

Experimente o Premium!star struck emoji

Acesse conteúdos dessa e de diversas outras disciplinas.

Libere conteúdos
sem pagar

Ajude estudantes e ganhe conteúdos liberados!

Prévia do material em texto

TRABALHO AVALIATIVO – MATRIZES E SISTEMAS LINEARES – CEX122 
Professor: Marcelo Luiz Vieira Data de entrega: 16/08/2019 Valor: _______ Nota: ______ 
Aluno (a): _____________________________ Matricula: _____________ Turma: ________ 
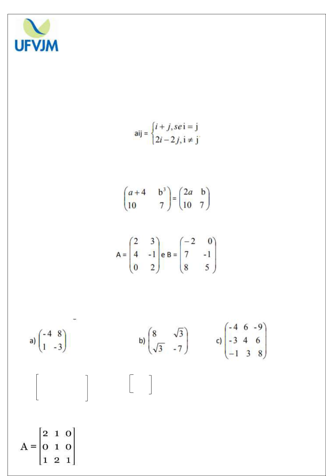
1) Determine a matriz A = (aij)3x4 e verifique qual o valor de 𝑎22 + 𝑎31: 
 
2) Determine a soma dos elementos da 3º coluna da matriz A = (aij)3x3 tal que aij = 4 + 3i –i. 
3) Determine a soma dos elementos da matriz linha (1x5) que obedece a lei: aij = 2i2 – 7j. 
4) Determine a e b para que a igualdade seja verdadeira. 
 
 5) Determine (𝐴 + 𝐵)𝑡 : 
 
6) Considere as matrizes A = (aij) e B (bij) quadradas de ordem 2, com aij = 3i + 4j e bij = -4i – 
3j. Sabendo que C = A + B, determine C² . 
 
7) Calcule os determinantes das matrizes abaixo: 
 
8) Determine a inversa de cada matriz abaixo: 
a) 3 4 1 b) 1 1 
2 1 0 2 4 
4 1 3 
9) Calcule o cofator da matriz A: 
 
MINISTÉRIO DA EDUCAÇÃO 
UNIVERSIDADE FEDERAL DOS VALES DO JEQUITINHONHA E MUCURI 
FACULDADE DE CIÊNCIAS SOCIAIS APLICADAS E EXATAS 
CURSO DE MATEMÁTICA 
 
www.ufvjm.edu.br

Mais conteúdos dessa disciplina