Logo Passei Direto
Buscar
Material
páginas com resultados encontrados.
páginas com resultados encontrados.
left-side-bubbles-backgroundright-side-bubbles-background

Experimente o Premium!star struck emoji

Acesse conteúdos dessa e de diversas outras disciplinas.

Libere conteúdos
sem pagar

Ajude estudantes e ganhe conteúdos liberados!

left-side-bubbles-backgroundright-side-bubbles-background

Experimente o Premium!star struck emoji

Acesse conteúdos dessa e de diversas outras disciplinas.

Libere conteúdos
sem pagar

Ajude estudantes e ganhe conteúdos liberados!

left-side-bubbles-backgroundright-side-bubbles-background

Experimente o Premium!star struck emoji

Acesse conteúdos dessa e de diversas outras disciplinas.

Libere conteúdos
sem pagar

Ajude estudantes e ganhe conteúdos liberados!

Prévia do material em texto

ATVIDADE QUÍMICA FARMACÊUTICA 2020-2
NOME: ANDREA LIMA MACHADO RA 309695515684
1- Verifique quais dos compostos abaixo apresentam atividade óptica (CARBONO QUIRAL):
a) CH3CHClCH2CH3
b) CH3CClBrCH3
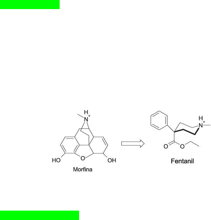
2- Uma das estratégias de modificação foi empregada para o desenvolvimento do fentanil, um potente analgésico, que tem como base a estrutura da morfina, em que foi mantido o grupo farmacofórico, responsável pela atividade terapêutica, conforme figura apresentada a seguir. Na obtenção desse fármaco, qual a estratégia de modificação molecular foi utilizada?
a) associação molecular
b) hibridação molecular
c) simplificação molecular
d) bioisosterismo
e) extensão molecular
3- A modificação molecular, que compreende vários processos, originou a maioria dos fármacos disponíveis na terapêutica. Nos exemplos abaixo, os processos utilizados em I, II e III são, respectivamente:
a) latenciação, hibridação molecular e duplicação molecular.
b) bioisosterismo, simplificação molecular e adição molecular
c) simplificação molecular, bioisosterismo e latenciação
d) adição molecular, latenciação e bioisosterismo
e) hibridação molecular, bioisosterismo e adição molecular
4- Os fármacos metoprolol e atenolol são bloqueadores seletivos de receptores b1 adrenérgicos, sendo, por isso, utilizados como anti-hipertensivos. Explique a razão do metoprolol ser contraindicado para pacientes com distúrbio no SNC e do atenolol ser contraindicado para pacientes com distúrbios renais, levando em conta os valores de coeficiente de partição e pKa destes fármacos:
atenolol: coeficiente de partição (P) 0,16 e pKa= 9,6 metoprolol: coeficiente de partição (P) 1,88 e pKa= 9,7
a) O fármaco metoprolol é mais lipofílico devido ao maior coeficiente de partição portanto contraindicado para pacientes com distúrbios no SNC, enquanto o atenolol é mais hidrofílico por possuir menos coeficiente de partição e indicado para estes pacientes.
b) O fármaco metoprolol é mais hidrofílico devido ao maior coeficiente de partição, portanto contraindicado para pacientes com distúrbios no SNC, enquanto o atenolol é mais lipofílico por possuir menor coeficiente de partição e indicado para estes pacientes.
c) A propriedade físico-química que confere ao metoprolol maior lipofilicidade é o pKa, portanto ele é contraindicado para pacientes com distúrbios no SNC.
d) O metoprolol é o mais indicado para pacientes com distúrbios no SNC devido ao grupo metoxila essencial para a atividade, o que o torna mais eficaz para estes pacientes.
e) Ambos fármacos poderiam ser indicados, desde que o atenolol seja latenciado.
5- A anfetamina é uma substância com poderosa ação estimulante sobre o sistema nervoso central. É usada no tratamento de pacientes que sofrem de depressão e também em regimes de emagrecimento. Todavia, algumas pessoas utilizam a anfetamina, sem orientação médica, com o objetivo de obter a sensação de euforia por ela provocada. A fórmula estrutural da anfetamina, representada abaixo, exemplificando um caso de isomeria:
a) geométrica.	b) de função.
c) de cadeia.	d) de compensação.	e) óptica.
6- Quanto aos fatores intervenientes na farmacocinética, pode-se afirmar que:
A. fármacos hidrossolúveis são absorvidos com maior facilidade ao longo do trato gastrintestinal.
B. o pH do meio não interfere na absorção e excreção dos fármacos.
C. a fração do fármaco ligada a proteínas plasmáticas é a responsável pelo efeito terapêutico.
D. o efeito de primeira passagem favorece a distribuição e reabsorção do fármaco.
E. a biotransformação do fármaco é um processo que favorece a sua eliminação.

Mais conteúdos dessa disciplina