Logo Passei Direto
Buscar

Prova calculo 2

Ferramentas de estudo

Questões resolvidas

Um método de integração bastante utilizado, que advém do método da derivação do produto de funções, é o método de integração por partes, que resumidamente consiste em transformar o cálculo da integral de uma função complexa no cálculo de duas ou mais integrais mais simples que a original.
Calcule a integral a seguir e assinale a alternativa CORRETA:
a) Somente a opção III está correta.
b) Somente a opção II está correta.
c) Somente a opção IV está correta.
d) Somente a opção I está correta.

O teorema fundamental do cálculo é a base das duas operações centrais do cálculo, diferenciação e integração, que são considerados como inversos um do outro. Isto significa que, se uma função contínua é primeiramente integrada e depois diferenciada (ou vice-versa), volta-se na função original.
Sobre as integrais imediatas, classifique V para as opções verdadeiras e F para as falsas, e depois assinale a alternativa que apresenta a sequência CORRETA:
a) V - V - F - V.
b) F - V - V - F.
c) V - V - F - F.
d) V - F - V - V.

O conceito de integração possui uma base onde sua principal motivação é o cálculo de área. Geometricamente a integração calcula a área compreendida entre o eixo X e o gráfico da função a ser integrada. Isto permite uma série de aplicações importantes de seu conceito em diversas áreas do conhecimento. Baseado nisto, analise o gráfico da função a seguir, compreendida entre os valores reais de -2 até 2 e indique a opção que possui o maior valor da integral definida entre tais valores.
a) - 2 e -1
b) -1 e 0
c) -1 e 1
d) 0 e 2

No cálculo integral, os métodos ou técnicas de integração são procedimentos analíticos utilizados para encontrar antiderivadas de funções. Algumas das técnicas mais conhecidas são as de integração por substituição, partes e frações parciais. Em especial, a técnica de integração por substituição consiste em aplicar a mudança de variáveis u = g(x), o que permitirá obter uma integral imediata para a resolução do problema.
Sendo assim, a partir da integral a seguir, assinale a alternativa CORRETA que apresenta a melhor substituição a ser utilizada:
A u = e.
B u = x².
C u = dx.
D u = x³.

Material
páginas com resultados encontrados.
páginas com resultados encontrados.
left-side-bubbles-backgroundright-side-bubbles-background

Crie sua conta grátis para liberar esse material. 🤩

Já tem uma conta?

Ao continuar, você aceita os Termos de Uso e Política de Privacidade

left-side-bubbles-backgroundright-side-bubbles-background

Crie sua conta grátis para liberar esse material. 🤩

Já tem uma conta?

Ao continuar, você aceita os Termos de Uso e Política de Privacidade

left-side-bubbles-backgroundright-side-bubbles-background

Crie sua conta grátis para liberar esse material. 🤩

Já tem uma conta?

Ao continuar, você aceita os Termos de Uso e Política de Privacidade

left-side-bubbles-backgroundright-side-bubbles-background

Crie sua conta grátis para liberar esse material. 🤩

Já tem uma conta?

Ao continuar, você aceita os Termos de Uso e Política de Privacidade

left-side-bubbles-backgroundright-side-bubbles-background

Crie sua conta grátis para liberar esse material. 🤩

Já tem uma conta?

Ao continuar, você aceita os Termos de Uso e Política de Privacidade

Questões resolvidas

Um método de integração bastante utilizado, que advém do método da derivação do produto de funções, é o método de integração por partes, que resumidamente consiste em transformar o cálculo da integral de uma função complexa no cálculo de duas ou mais integrais mais simples que a original.
Calcule a integral a seguir e assinale a alternativa CORRETA:
a) Somente a opção III está correta.
b) Somente a opção II está correta.
c) Somente a opção IV está correta.
d) Somente a opção I está correta.

O teorema fundamental do cálculo é a base das duas operações centrais do cálculo, diferenciação e integração, que são considerados como inversos um do outro. Isto significa que, se uma função contínua é primeiramente integrada e depois diferenciada (ou vice-versa), volta-se na função original.
Sobre as integrais imediatas, classifique V para as opções verdadeiras e F para as falsas, e depois assinale a alternativa que apresenta a sequência CORRETA:
a) V - V - F - V.
b) F - V - V - F.
c) V - V - F - F.
d) V - F - V - V.

O conceito de integração possui uma base onde sua principal motivação é o cálculo de área. Geometricamente a integração calcula a área compreendida entre o eixo X e o gráfico da função a ser integrada. Isto permite uma série de aplicações importantes de seu conceito em diversas áreas do conhecimento. Baseado nisto, analise o gráfico da função a seguir, compreendida entre os valores reais de -2 até 2 e indique a opção que possui o maior valor da integral definida entre tais valores.
a) - 2 e -1
b) -1 e 0
c) -1 e 1
d) 0 e 2

No cálculo integral, os métodos ou técnicas de integração são procedimentos analíticos utilizados para encontrar antiderivadas de funções. Algumas das técnicas mais conhecidas são as de integração por substituição, partes e frações parciais. Em especial, a técnica de integração por substituição consiste em aplicar a mudança de variáveis u = g(x), o que permitirá obter uma integral imediata para a resolução do problema.
Sendo assim, a partir da integral a seguir, assinale a alternativa CORRETA que apresenta a melhor substituição a ser utilizada:
A u = e.
B u = x².
C u = dx.
D u = x³.

Prévia do material em texto

Acadêmico:
	xxxxxxxxxxxxx
	Disciplina:
	Cálculo Diferencial e Integral II (MAD103)
	Avaliação:
	Avaliação I - Individual Semipresencial ( Cod.:668772) ( peso.:1,50)
	Prova Objetiva:
	28525999
Parte superior do formulário
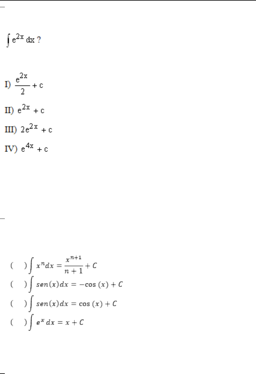
	1.
	Um método de integração bastante utilizado, que advém do método da derivação do produto de funções, é o método de integração por partes, que resumidamente consiste em transformar o cálculo da integral de uma função complexa no cálculo de duas ou mais integrais mais simples que a original. Calcule a integral a seguir e assinale a alternativa CORRETA:
	
	
	a) Somente a opção III está correta.
	
	b) Somente a opção IV está correta.
	
	c) Somente a opção I está correta.
	
	d) Somente a opção II está correta.
	 
	 
	2.
	O teorema fundamental do cálculo é a base das duas operações centrais do cálculo, diferenciação e integração, que são considerados como inversos um do outro. Isto significa que, se uma função contínua é primeiramente integrada e depois diferenciada (ou vice-versa), volta-se na função original. Sobre as integrais imediatas, classifique V para as opções verdadeiras e F para as falsas, e depois assinale a alternativa que apresenta a sequência CORRETA:
	
	
	a) V - V - F - F.
	
	b) V - V - F - V.
	
	c) F - V - V - F.
	
	d) V - F - V - V.
	3.
	No cálculo, a integral de uma função foi criada originalmente para determinar a área sob uma curva no plano cartesiano e também surge naturalmente em dezenas de problemas de Física. Resolva a questão a seguir e assinale a alternativa CORRETA:
	
	
	a) Somente a opção IV está correta.
	
	b) Somente a opção II está correta.
	
	c) Somente a opção I está correta.
	
	d) Somente a opção III está correta.
	4.
	A integral definida é utilizada para calcular a área entre uma curva, geralmente o gráfico de uma função e o eixo x em determinado intervalo, mas ela também pode ser utilizada para calcular a área entre duas curvas que estejam no mesmo plano cartesiano. Calcule a integral definida a seguir e, em seguida, assinale a alternativa CORRETA:
	
	
	a) Somente a opção I está correta.
	
	b) Somente a opção IV está correta.
	
	c) Somente a opção III está correta.
	
	d) Somente a opção II está correta.
	5.
	O conceito de integração possui uma base onde sua principal motivação é o cálculo de área. Geometricamente a integração calcula a área compreendida entre o eixo X e o gráfico da função a ser integrada. Isto permite uma série de aplicações importantes de seu conceito em diversas áreas do conhecimento. Baseado nisto, analise o gráfico da função a seguir, compreendida entre os valores reais de -2 até 2 e indique a opção que possui o maior valor da integral definida entre tais valores.
	
	
	a) 0 e 2
	
	b) - 2 e -1
	
	c) -1 e 1
	
	d) -1 e 0
	6.
	No cálculo integral, os métodos ou técnicas de integração são procedimentos analíticos utilizados para encontrar antiderivadas de funções. Algumas das técnicas mais conhecidas são as de integração por substituição, partes e frações parciais. Em especial, a técnica de integração por substituição consiste em aplicar a mudança de variáveis u = g(x), o que permitirá obter uma integral imediata para a resolução do problema. Sendo assim, a partir da integral a seguir, assinale a alternativa CORRETA que apresenta a melhor substituição a ser utilizada:
	
	
	a) u = e.
	
	b) u = dx.
	
	c) u = x³.
	
	d) u = x².
	7.
	O cálculo foi criado como uma ferramenta auxiliar em várias áreas das ciências exatas. Foi desenvolvido por Isaac Newton (1643-1727) e Gottfried Wilhelm Leibniz (1646-1716), em trabalhos independentes. O cálculo auxilia em vários conceitos e definições na matemática, química, física clássica, física moderna e economia. Resolva a questão a seguir e assinale a alternativa CORRETA:
	
	
	a) Somente a opção I está correta.
	
	b) Somente a opção IV está correta.
	
	c) Somente a opção III está correta.
	
	d) Somente a opção II está correta.
	8.
	No cálculo, a integral de uma função foi criada originalmente para determinar a área sob uma curva no plano cartesiano e também surge naturalmente em dezenas de problemas de Física. Resolva a questão a seguir e assinale a alternativa CORRETA:
	
	
	a) Somente a opção II está correta.
	
	b) Somente a opção I está correta.
	
	c) Somente a opção III está correta.
	
	d) Somente a opção IV está correta.
	9.
	No cálculo, a integral de uma função foi criada originalmente para determinar a área sob uma curva no plano cartesiano e também surge naturalmente em dezenas de problemas de Física. Resolva a questão a seguir e assinale a alternativa CORRETA:
	
	
	a) Somente a opção III está correta.
	
	b) Somente a opção II está correta.
	
	c) Somente a opção I está correta.
	
	d) Somente a opção IV está correta.
	10.
	No cálculo, a integral de uma função foi criada originalmente para determinar a área sob uma curva no plano cartesiano e também surge naturalmente em dezenas de problemas de Física. Resolva a questão a seguir e assinale a alternativa CORRETA:
	
	
	a) Somente a opção I está correta.
	
	b) Somente a opção II está correta.
	
	c) Somente a opção IV está correta.
	
	d) Somente a opção III está correta.
Atenção: Confira as respostas! Depois de concluir a avaliação não será possível fazê-la novamente.
Parte inferior do formulário

Mais conteúdos dessa disciplina