Logo Passei Direto
Buscar
Material
left-side-bubbles-backgroundright-side-bubbles-background

Crie sua conta grátis para liberar esse material. 🤩

Já tem uma conta?

Ao continuar, você aceita os Termos de Uso e Política de Privacidade

left-side-bubbles-backgroundright-side-bubbles-background

Crie sua conta grátis para liberar esse material. 🤩

Já tem uma conta?

Ao continuar, você aceita os Termos de Uso e Política de Privacidade

left-side-bubbles-backgroundright-side-bubbles-background

Crie sua conta grátis para liberar esse material. 🤩

Já tem uma conta?

Ao continuar, você aceita os Termos de Uso e Política de Privacidade

Prévia do material em texto

Planilha1
	ALUNO: José Antônio Pinheiro Júnior
	MATRÍCULA: 01341238
	CURSO: ENGENHARIA CIVIL - EAD
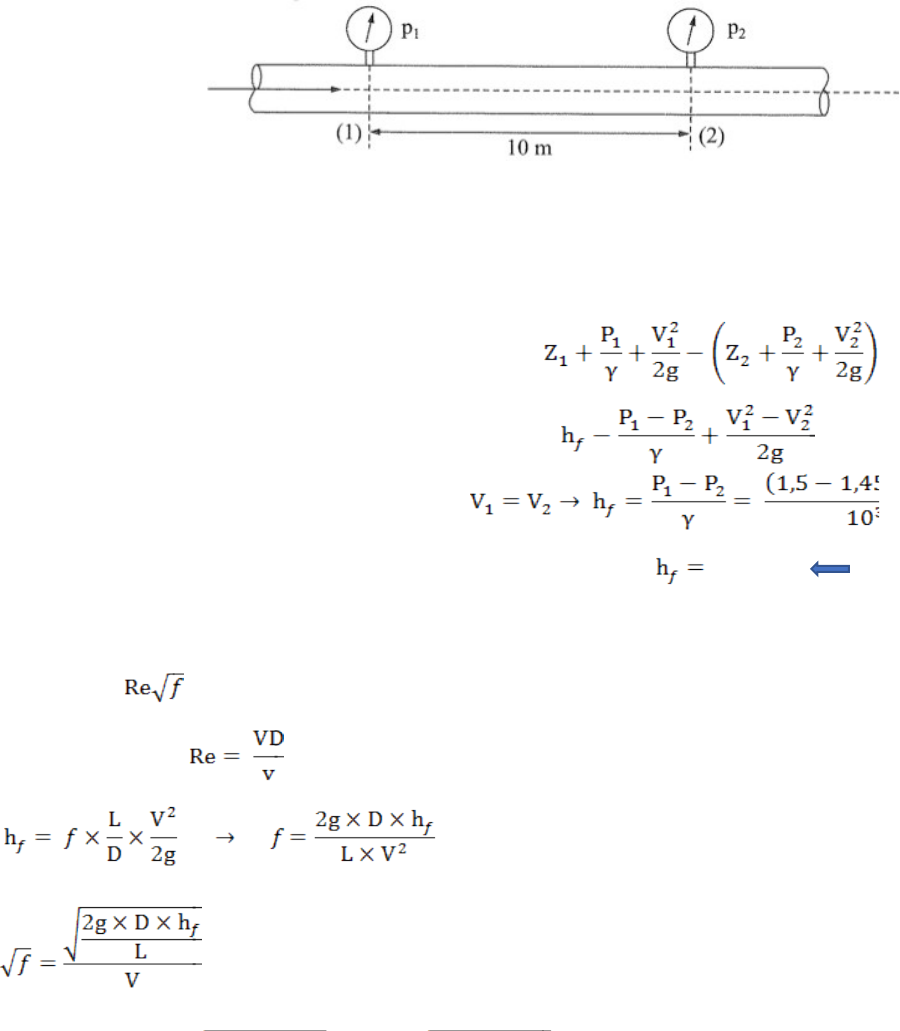
	Sendo assim, com base em todo o conteúdo estudado, considere um conduto de ferro fundido, sendo D = 10 cm e j = 0,7* 10⁻⁶m2/s, sabendo-se que há dois manômetros instalados a uma distância de 10 m, que indicam, respectivamente, 0,15 Mpa e 0,145 Mpa. Demonstre, através de cálculos em uma planilha de Excel, a vazão da água nesse conduto; o diagrama utilizado, comente como chegou ao resultado e cite exemplos práticos sobre perdas de carga.
		P1= 0,15 Mpa = 1,5 x 104 kgf/m2					Bernoulli:
		P2= 0,145 Mpa = 1,45 x 104 kgf/m2					H1 = H2 + HP1,2 → (HP1,2 = hf)
		g = 103 kgf/m3 
		K = 25,9 x 10-5 m.
							Logo:
									0.50	m	Clique no valor para ver a fórmula
		Cálculo de 
				0.000000045		=4,5x10⁴		Clique no valor para ver a fórmula
	Cálculo de 						386.10		Clique no valor para ver a fórmula
	Cálculo de V e Q
							1.96	m/s		Clique no valor para ver a fórmula
					Ou
						1.92	m/s	Clique no valor para ver a fórmula
						15.1	L/s	Clique no valor para ver a fórmula
		REFERÊNCIA 
		https://edisciplinas.usp.br/pluginfile.php/2089883/mod_resource/content/3/PME3230-RL-Escoamento_Turbulento-Medidores_Vazao.pdf

Mais conteúdos dessa disciplina