Logo Passei Direto
Buscar
Material
páginas com resultados encontrados.
páginas com resultados encontrados.

Prévia do material em texto

VARIABLES ALEATORIAS CONTINUAS 
 
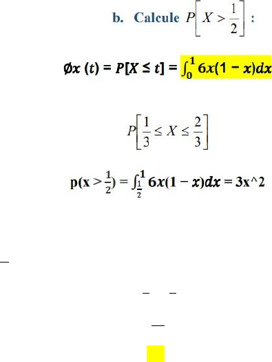
1. Se supone que el diámetro de un cable eléctrico X es una variable aleatoria 
continua con función de densidad: f(x)=6x(1-x) para 0<x  1 y cero en 
cualquier otro caso. 
a. Obtenga la función de distribución acumulada X (t) . 
 
 
𝟐 𝟐 
𝟏 
(-2x^3) 𝟏 = ((3(1) ^2) - (2(1) ^3) - (3((1/2) ^2) - 2(1/2) ^3) 
𝟐 
(1)-((𝟑)- (𝟐)) 
𝟒 𝟔 
1 - (𝟏𝟎) 
𝟐𝟒 
=
 𝟕 
𝟏𝟐

Mais conteúdos dessa disciplina