Logo Passei Direto
Buscar
Material
páginas com resultados encontrados.
páginas com resultados encontrados.

Prévia do material em texto

F
R
E
N
T
E
 2
189
2 Um planeta descreve uma órbita elíptica em torno do Sol. Em qual posição a velocidade de translação desse planeta
é maior: no periélio ou no afélio? Qual lei de Kepler você utilizou para chegar a essa conclusão?
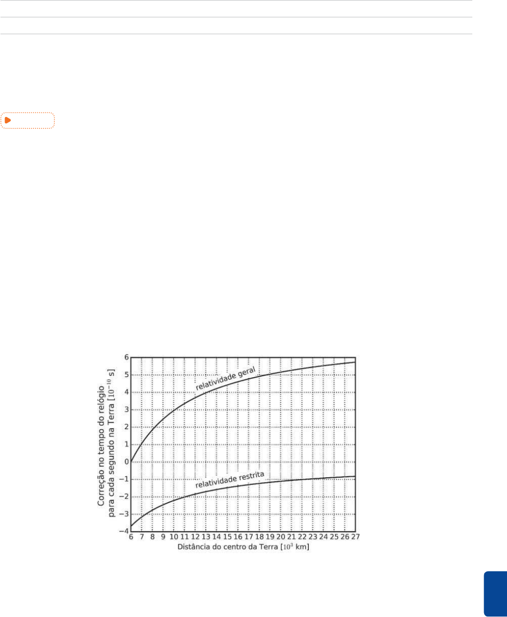
3 Unicamp 2017 O uso do sistema de localização GPS (Global Positioning System) cresceu bastante nos últimos tempos
devido principalmente à existência do sensor GPS na maioria dos celulares disponíveis no mercado Nesses celulares,
o sinal de GPS tem sido usado para localização do aparelho em mapas, para obter sugestões de rotas e até em jogos
Considere que os satélites responsáveis por enviar o sinal GPS encontram-se a aproximadamente RGPS= 27 000 km do
centro da Terra, seu período de rotação em torno do centro da Terra é TGPS = 12 horas e sua órbita é circular
Use: p = 3.
a) Qual é a velocidade escalar média de um satélite do sistema GPS?
b) Os satélites de GPS enviam continuamente as três coordenadas que determinam sua posição atual e o horário do
envio da mensagem. Com as informações de 4 satélites, o receptor pode determinar a sua posição e o horário local.
Para garantir a precisão dessas informações, efeitos relativísticos são considerados na determinação do horário
enviado pelos satélites. Os relógios localizados nos satélites são afetados principalmente por efeitos da relativi-
dade restrita, que atrasam os relógios, e da relatividade geral, que adiantam os relógios, conforme mostra a figura
abaixo. Qual é a distância do centro da Terra R e o período T da órbita em que os efeitos da relatividade geral e
da relatividade restrita se cancelam, ou seja, quando a soma dos dois efeitos é zero?
FÍSICA Capítulo 10 Gravitação190
4 UFSM Dois corpos esféricos e homogêneos de mesma massa têm seus centros separados por uma certa distância,
maior que o seu diâmetro. Se a massa de um deles for reduzida à metade e a distância entre seus centros, duplicada,
o módulo da força de atração gravitacional que existe entre eles ficará multiplicado por qual valor?
5 UFU 2016 Em 2009, foi realizada uma missão de reparos no Telescópio Espacial Hubble, que se encontra em órbita
em torno da Terra a, aproximadamente, 600 km de altitude. Isso foi feito para que o equipamento pudesse ainda
operar por mais alguns anos. Na ocasião, os astronautas foram vistos em uma condição em que pareciam flutuar do
lado de fora do instrumento, levando à ideia equivocada de que estavam sem ação da força gravitacional terrestre.
a) Assumindo que o raio da Terra é aproximadamente igual a 6 400 km, a massa de nosso planeta é de 6 ⋅ 1024 kg
e a massa do Telescópio Hubble é de 11 ⋅ 10
3
 kg, qual é o valor da aceleração da gravidade terrestre a que os
astronautas estavam sujeitos durante a missão de reparos?
Considere: = 6,7 ⋅ 10
-11
 N⋅m
2
/kg
2
.
b) Supondo que no Universo somente existisse o planeta Terra, a que distância em relação a ele os astronautas
deveriam ser colocados para que a aceleração gravitacional terrestre fosse nula?
6 UFPR 2017 Em 18 de junho de 2016, foi lançado o foguete Ariane 5 ECA, que transportava o satélite de comunicação
EchoStar XVIII, com o objetivo de transferi-lo para uma órbita geoestacionária. As órbitas geoestacionárias são aque-
las em que o período de revolução do satélite é de 24 h, o que corresponde a seu posicionamento sempre sobre um
mesmo ponto da superfície terrestre no plano do Equador. Considere o raio R1 da órbita desse satélite como sendo
de 42 000 km.
Em 15 de setembro de 2016, foi lançado o foguete Vega, transportando os satélites SkySats, denominados de 4 a
7 (satélites de uma empresa do Google), para mapeamento com alta precisão da Terra inteira. A altitude da órbita
desses satélites, em relação à superfície terrestre, é de 500 km. Considerando o raio da terra como sendo de apro-
ximadamente 6 500 km e que a velocidade de um satélite, tangencial à órbita, pode ser calculada pela raiz quadrada
do produto da constante gravitacional G pela massa M da terra dividida pelo raio da órbita do satélite, determine:
(Obs.: Não é necessário o conhecimento dos valores de G e M e todos os cálculos devem ser claramente apresen-
tados. Alguns dos valores estão com aproximações por conveniência de cálculo. Não é necessário determinar os
valores das raízes quadradas, basta deixar os valores numéricos, após os devidos cálculos, indicados no radical.)
a) O valor numérico da velocidade V2 do satélite EchoStar XVIII, em relação à velocidade V1 de um dos satélites
SkySats.
F
R
E
N
T
E
 2
191
) O valor do período T2 dos satélites SkySats, em horas, por aplicação da terceira Lei de Kepler.
7 UEL 2020 Uma espaçonave, de massa igual a 1 ⋅ 104 kg, está passando pelas imediações de um planeta remoto, cuja
massa é de 8 ⋅ 1024 kg. Esse planeta possui um satélite natural, que tem 1% da sua massa e cujo raio da órbita em
torno do planeta é de 3,3 ⋅ 108 m.
Com base nessas informações, responda aos itens a seguir.
a) Considere a figura A ao lado (note que a figura não está
em escala). A rota da espaçonave prevê que ela passe
exatamente pelo ponto, entre o planeta e o satélite, onde
a força gravitacional resultante sobre a nave é nula.
Calcule a distância em que a espaçonave estará do cen-
tro do satélite nesse exato instante.
) A magnitude da energia devida à atração gravitacional entre dois corpos de massas m1 e m2 é dada porU G
m m
d
,1 2=
⋅
onde d é a distância entre os dois corpos.
Ao longo de sua viagem, a espaçonave passa por um ponto, onde
ela, o planeta e o satélite ocupam os vértices de um triângulo equi-
látero, conforme a gura B ao lado. A partir dessa posição, calcule o
trabalho mínimo que deveria ser realizado pelos motores da espa-
çonave para que ela escapasse da atração gravitacional exercida
sobre ela pelo planeta e pelo satélite. Para essa estimativa, despreze
o movimento do planeta e do satélite. Considere a constante de gra-
vitação universal G = 6,6 ⋅ 10-11 Nm2/kg2.
Observação: Ao escapar da atração gravitacional, U = 0.
FÍSICA Capítulo 10 Gravitação192
1 IFSP 2012 Muitos ainda acreditam que como a órbita
da Terra em torno do Sol é uma elipse e o Sol não está
no centro dessa elipse, as estações do ano ocorrem
porque a Terra ora fica mais próxima do Sol, ora mais
afastada. Se isso fosse verdade, como se explica o
fato de o Natal ocorrer numa época fria (até nevar) nos
países do hemisfério Norte e no Brasil ocorrer numa
época de muito calor? Será que metade da Terra está
mais próxima do Sol e a outra metade está mais afas-
tada? Isso não faz sentido. A existência das estações
do ano é mais bem explicada
A pelo fato de o eixo imaginário de rotação da Terra
ser perpendicular ao plano de sua órbita ao redor
do Sol.
b pelo fato de em certas épocas do ano a velocidade
de translação da Terra ao redor do Sol ser maior do
que em outras épocas.
C pela inclinação do eixo imaginário de rotação da Terra
em relação ao plano de sua órbita ao redor do Sol.
d pela velocidade de rotação da Terra em relação ao
seu eixo imaginário não ser constante.
e pela presença da Lua em órbita ao redor da Terra,
exercendo influência no período de translação da
Terra ao redor do Sol.
2 UFRGS Selecione a alternativa que preenche correta-
mente as lacunas nas afirmações a seguir, na ordem
em que elas aparecem.
 descreveu movimentos acelera-
dos sobre um plano inclinado e estudou os efeitos da
gravidade terrestre local sobre tais movimentos.
 usando dados coletados por
Tycho Brahe, elaborou enunciados concisos para des-
crever os movimentos dos planetas em suas órbitas
em torno do Sol.
 propôs uma teoria que explica
o movimento dos corpos celestes, segundo a qual a
gravidade terrestre atinge a Lua, assim como a gravi-
dade solar se estende à Terra e aos demais planetas.
A Newton – Kepler – Galileu
b Galileu – Kepler – Newton
C Galileu – Newton – Kepler
d Kepler – Newton – Galileu
e Kepler – Galileu – Newton
3 UEL  oficial: Plutão foi rebaixado. A partir de agora, o
Sistema Solar é composto por oito planetas (de Mercúrio
aNetuno), por planetas-anões (incluindo Plutão) e por
corpos pequenos (asteroides, cometas). A decisão saiu da
Assembleia Geral da União Astronômica Internacional
(IAU), realizada em Praga, capital da República Checa.
Os astrônomos seguirão trabalhando para classificar os
casos duvidosos entre as categorias de “planeta-anão” e
“corpo pequeno do Sistema Solar”.
Dois corpos celestes do Sistema Solar que tinham sido
cotados para promoção a planetas, o asteroide Ceres e o
planetoide 2003 UB313, de codinome Xena, ganham a
condição de “planeta-anão”.
Com base no texto, é correto armar:
A A partir de agora, o sistema solar é composto ex-
clusivamente por oito planetas.
b O planetoide 2003 UB313 pertence ao Sistema So-
lar e foi classificado como “planeta-anão”.
C A decisão de excluir Plutão do Sistema Solar foi to-
mada pela União Astronômica Internacional (IAU).
d Corpos pequenos como asteroides e cometas se-
rão agora classificados como “anões”.
e Os asteroides Ceres e o planetoide 2003 UB313
foram promovidos a planetas
4 Unesp 2020 Para completar minha obra, restava uma
última tarefa: encontrar a lei que relaciona a distância
do planeta ao Sol ao tempo que ele leva para comple-
tar sua órbita.
Por m, já quase sem esperanças, tentei T
2/D3 E fun
cionou! Essa razão é igual para todos os planetas! No
início, pensei que se tratava de um sonho. Essa é a
lei que tanto procurei, a lei que liga cosmo e mente,
que demonstra que toda a Criação provém de Deus.
Minha busca está encerrada.
(Apud Marcelo Gleiser. A harmonia do mundo, 2006.
Adaptado.)
A lei mencionada no texto refere-se ao trabalho de
um importante pensador, que viveu
A na Idade Média, período influenciado pelo pensa-
mento da Igreja católica, e que buscava explicar os
fenômenos da natureza por meio da intervenção
divina.
b na Europa posteriormente a Isaac Newton e que,
sob forte influência deste filósofo e cientista, esta-
beleceu as bases da mecânica celeste.
C em uma época de exacerbados conflitos religio-
sos, que culminariam na Contrarreforma católica,
opondo-se ao modelo heliocêntrico de Nicolau
Copérnico.
d no período do Renascimento científico e que
formulou três leis fundamentais do movimento
planetário, baseando-se em observações do pla-
neta Marte.
e no fim da era medieval e início da Idade Moderna,
período de triunfo da fé sobre a razão, o que facili-
tou seus trabalhos na tentativa de compreender a
natureza.
Exercícios propostos

Mais conteúdos dessa disciplina